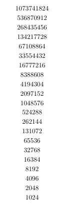
I was trying to output the positive integer powers of 2 starting from 2^10=1024. I was met with a Dimension too large error. When I force compiled, every number from 2^14=16384 was output as 16383. My guess is that 16384 is just beyond the default range of numbers covered by the engine and overflows raised an error. What can I do to enable computation of bigger numbers? In 2022 16383 is no where near enough.
\documentclass{article}
\usepackage{tikz}
\begin{document}
\begin{tikzpicture}
\foreach \i in {10,...,20} {
\node at (\i,0) {\pgfmathprint{int(2^\i)}};
}
\end{tikzpicture}
\end{document}



\tanhFunction - TeX - LaTeX Stack Exchange – user202729 Oct 19 '22 at 18:39