Note that ^{'} and ^' are wrong and should simply be '.
I guess you want something like
\documentclass{article}
\usepackage{amsmath}
\begin{document}
\begin{align}
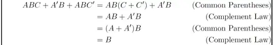
&ABC+A'B+ABC' \
&\quad= AB(C+C')+A'B && \text{(Common Parentheses)} \
&\quad= AB + A'B && \text{(Complement Law)} \
&\quad= B(A+A') && \text{(Common Parentheses)} \
&\quad= B && \text{(Complement Law)}
\end{align}
\end{document}
I see no reason for pushing the justifications to the right margin, nor the formulas to the left margin; actually, I see several reasons not to.

Is it possible to have the justifications at the right margin? Yes, certainly so. Compare
\documentclass{article}
\usepackage{amsmath}
\usepackage{lipsum} % for mock text
\usepackage{showframe} % to see the margins
\begin{document}
\lipsum[1][1-4]
\begin{align}
&ABC+A'B+ABC' \
&\quad= AB(C+C')+A'B && \text{(Common Parentheses)} \
&\quad= AB + A'B && \text{(Complement Law)} \
&\quad= B(A+A') && \text{(Common Parentheses)} \
&\quad= B && \text{(Complement Law)}
\end{align}
\lipsum[2][1-4]
\begin{flalign}
&ABC+A'B+ABC' \
&\quad= AB(C+C')+A'B && \text{(Common Parentheses)} \
&\quad= AB + A'B && \text{(Complement Law)} \
&\quad= B(A+A') && \text{(Common Parentheses)} \
&\quad= B && \text{(Complement Law)}
\end{flalign}
\lipsum[3][1-4]
\end{document}

Do you want your readers to have a hard time following lines with so large blank space between the two parts?
\\for new lines in normal text. Theamsmathpackage provides a lot of environments to align equations properly and which usually look good. Or are you not using LaTeX? – Qrrbrbirlbel Oct 24 '22 at 13:06^{'}and^'are wrong. It should just be'. – Mico Oct 24 '22 at 13:13