In equations, I want to refer footnotes over the equal sign to explain, which rules or calculation steps are used.
This MWE
\documentclass[a4paper,12pt]{scrartcl}
%%% PACKAGES %%%
\usepackage{physics}
\usepackage{xcolor}
\usepackage{hyperref}
\usepackage{blindtext}
%%% FOOTNOTE COMMAND %%%
\renewcommand*{\thefootnote}{\fnsymbol{footnote}}
%%% COLORS %%%
\newcommand{\red}[1]{\textcolor{red}{#1}}
\newcommand{\green}[1]{\textcolor{green!50!black}{#1}}
\newcommand{\blue}[1]{\textcolor{blue}{#1}}
%%% HYPER SETUP %%%
\hypersetup{
colorlinks = true,
linkcolor = blue,
}
\begin{document}
\blindtext[3] \
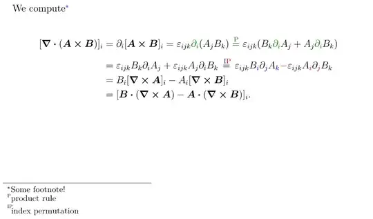
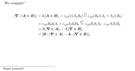
We compute\footnote{Some footnote!}
\begin{align}
[\div{(\vb{A} \cross \vb{B})}]{i} &= \partial{i} [\vb{A} \cross \vb{B}]{i} = \varepsilon{ijk} \green{\partial_{i}}(A_{j} B_{k}) \overset{\text{\green{P}\footnote{product rule}} }{=} \varepsilon_{ijk} (B_{k} \green{\partial_{i}} A_{j} + A_{j} \green{\partial_{i}} B_{k}) \
&= \varepsilon_{ijk} B_{k} \partial_{i} A_{j} + \varepsilon_{ijk} A_{j} \partial_{i} B_{k} \overset{\text{\blue{I}\red{P}}\footnote{index permutation} }{=} \varepsilon_{ijk} B_{\blue{i}} \partial_{\blue{j}} A_{\blue{k}} \red{-} \varepsilon_{ijk} A_{\red{i}} \partial_{\red{j}} B_{k} \
&= B_{i} [\curl{\vb{A}}]{i} - A{i} [\curl{\vb{B}}]_{i} \
&= [\vb{B} \vdot (\curl{ \vb{A}} ) - \vb{A} \vdot (\curl{ \vb{B}})]_{i}.
\end{align}
\end{document}
The goal is, that the \dagger symbol next to \green{P} and the \ddagger symbol next to \blue{I}\red{P} should disappear.
The \green{P} and \blue{I}\red{P} should be the footnotemarks themself and refer to the footnotetexts product rule and index permutation.
The solution should look like this:

If it is not possible or at least very complicated with a small amount of code to set \green{P} and \blue{I}\red{P} as footnotemarks, I am also fine with an asterisk-symbol (which then should be black).
I tried solutions mentioned in the posts Can I make footnote inside an equation? and Footnote in align environment, which unfortunately not solve my problem (since the seperation of a \foonote into \footnotemark and \footnotetext seems to break the reference used by the hyperref-package inside an align-environment).
I appreciate any comments and attempts to a possible solution!
