Consider the following:
\documentclass[12pt,a4paper,oneside]{book}
\usepackage{amsfonts, graphicx, verbatim, mathtools,amssymb, amsthm, mathrsfs,amsmath}
\begin{document}
\begin{align*}
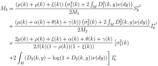
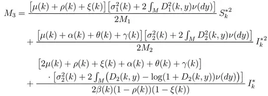
M_3&=\frac{(\mu(k)+\rho(k)+\xi(k))\left(\sigma_1^2(k)+2\int_M D_1^2(k,y)\nu(dy)\right)}{2M_1}S_k^{*^2}\\[1ex] &+\frac{(\mu(k)+\alpha(k)+\theta(k)+\gamma(k))\left(\sigma_2^2(k)+2\int_M D_2^2(k,y)\nu(dy)\right)}{2M_2}I_k^{*^2}\\[1ex]
&+\frac{2\mu(k)+\rho(k)+\xi(k)+\alpha(k)+\theta(k)+\gamma(k)}{2\beta(k)(1-\rho(k))(1-\xi(k))}\left[\sigma_2^2(k)\right.\\
&\left.+2\int_M (D_2(k,y)-\log(1+D_2(k,y))\nu(dy)) \right]I_k^*
\end{align*}
\end{document}
How to i get the \left[ -- the "big" square bracket in line 3 -- to match the \right] big bracket in line 4?


\left\rightuse\bigl[...\bigr]or whatever size you need (this will be a duplicate) – David Carlisle Oct 27 '22 at 13:10\right.or some such – David Carlisle Oct 27 '22 at 13:22