I'm trying to write the following in Notion (using KaTeX library):
The closest thing I've got is with this code:
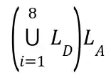
L_{DNI} = \left( \text{U}_{i=1}^{8} \right) L_A
I would like to do the same with others letters like A,B or the intersection symbol(∩). Any idea?
Edit:
I've found the solution before this post by myselft but i want to share with the community.
Just using underset and overset can be done easily:
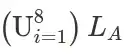
L_{DNI} = \left( \overset{8}{\underset{i=1}{\text{U}}} \right) L_A
You can replace the text field section with anything:
If you try with Unicode symbols doesn't work well:










katexis off topic here, (2)katexis limited in what it is capable of, so even if a latex splution exists it might not be applicable forkatex. – daleif Oct 31 '22 at 11:58