Note: I wrote this answer before the OP provided their MWE. It therefore does not incorporate the approach the OP used.
Anyways: if you draw the correct plots, there will only be very little room for the annotations ...
\documentclass[border=10pt]{standalone}
\usepackage{tikz}
\usetikzlibrary{decorations.markings}
% https://tex.stackexchange.com/a/128584/47927
\tikzset{
insert coordinate/.style args={#1 at #2}{
postaction=decorate,
decoration={
markings,
mark=at position #2 with {
\coordinate (#1);
}
}
}
}
\begin{document}
\begin{tikzpicture}[
scale=3,
font=\footnotesize,
>=stealth,
]
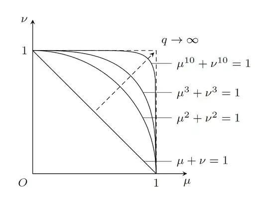
\draw[insert coordinate={plot-1 at 0.9}] (0,1)
plot [domain=0:1, samples=129] (\x, {(1-\x)});
\draw[insert coordinate={plot-2 at 0.7}] (0,1)
plot [domain=0:1, samples=129] (\x, {(1-\x^2)^(1/2)});
\draw[insert coordinate={plot-3 at 0.6}] (0,1)
plot [domain=0:1, samples=129] (\x, {(1-\x^3)^(1/3)});
\draw[insert coordinate={plot-4 at 0.525}] (0,1)
plot [domain=0:1, samples=129] (\x, {(1-\x^10)^(1/10)});
\draw[densely dashed] (0,1) node[left] {1} -|
(1,0) node[below] {1};
\draw[<->] (0,1.25) node[left] {$\nu$} --
(0,0) node[below left] {$O$} --
(1.25,0) node[below] {$\mu$};
\draw[very thin] (plot-1) -- (1.125,0 |- plot-1)
node[align=left, anchor=west] {$\mu + \nu = 1$};
\draw[very thin] (plot-2) -- (1.125,0 |- plot-2)
node[align=left, anchor=west] {$\mu^2 + \nu^2 = 1$};
\draw[very thin] (plot-3) -- (1.125,0 |- plot-3)
node[align=left, anchor=west] {$\mu^3 + \nu^3 = 1$};
\draw[very thin] (plot-4) -- (1.125,0 |- plot-4)
node[align=left, anchor=west] {$\mu^{10} + \nu^{10} = 1$};
\draw[densely dashed, ->, shorten >=2pt, shorten <=2pt] (0.5,0.5) -- (1,1)
node[above right] {$q \to \infty$};
\end{tikzpicture}
\end{document}

While you can use the option pos to attach a node to a path, this approach does not work if the path is constructed using plot. Therefore, I used this nice approach to add a coordinates at the relevant position of the plotted path to later be able to reference to it. This way, it is easy to attach labels to the plots.
If anybody has a better idea about where to place the labels in this tighly packed diagram, let me know!
Raffaele Santoro's idea of using different colors for the plot would render the complicated mechanism of using decorations to attach coordinates to the plots unnecessary and simplify the code a lot (using for loops would probably even more simplify it):
\documentclass[border=10pt]{standalone}
\usepackage{tikz}
\begin{document}
\begin{tikzpicture}[
scale=3,
font=\footnotesize,
>=stealth,
]
\draw[red] (0,1) plot [domain=0:1, samples=129] (\x, {(1-\x)});
\draw[violet] (0,1) plot [domain=0:1, samples=129] (\x, {(1-\x^2)^(1/2)});
\draw[blue] (0,1) plot [domain=0:1, samples=129] (\x, {(1-\x^3)^(1/3)});
\draw[cyan] (0,1) plot [domain=0:1, samples=129] (\x, {(1-\x^10)^(1/10)});
\draw[densely dashed] (0,1) node[left] {1} -|
(1,0) node[below] {1};
\draw[<->] (0,1.25) node[left] {$\nu$} --
(0,0) node[below left] {$O$} --
(1.25,0) node[below] {$\mu$};
\node[align=left, anchor=west, red] at (1,0.1) {$\mu + \nu = 1$};
\node[align=left, anchor=west, violet] at (1,0.3) {$\mu^2 + \nu^2 = 1$};
\node[align=left, anchor=west, blue] at (1,0.5) {$\mu^3 + \nu^3 = 1$};
\node[align=left, anchor=west, cyan] at (1,0.7) {$\mu^{10} + \nu^{10} = 1$};
\draw[densely dashed, ->, shorten >=2pt, shorten <=2pt] (0.5,0.5) -- (1,1)
node[above right] {$q \to \infty$};
\end{tikzpicture}
\end{document}
