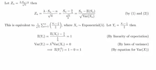
Like how do they get the bit where it says (By linearity of expectation) whilst still aligning the equations

Asked
Active
Viewed 123 times
0
1 Answers
0
Use the \tag*{} from amsmath as mentioned here:
\documentclass{article}
\usepackage{amsmath}
\begin{document}
\begin{align*}
\mathbf{A} \mathbf{x} &= \mathbf{b} \tag*{(Linear)} \\
\mathbf{y} &= \mathbf{c} \tag*{(Trivial)}
\end{align*}
\end{document}
Result:
