I'm trying to have all my equation aligned to the left of the document instead of the center. I'm trying with flalign but fore some strange reason I get this :
Here is the code :
\documentclass[11pt, french]{article} %article report book letter slides
\usepackage{blindtext}
\usepackage{geometry}
\geometry{
a4paper,
total={170mm,257mm},
left=20mm,
top=20mm,
}
\usepackage[french]{babel}
\selectlanguage{french}
\usepackage{amssymb}
\usepackage{amsmath}
\usepackage{esint}
\begin{document}
\newcommand{\prt}[2]{\frac{\partial #1}{\partial #2}}
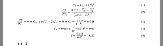
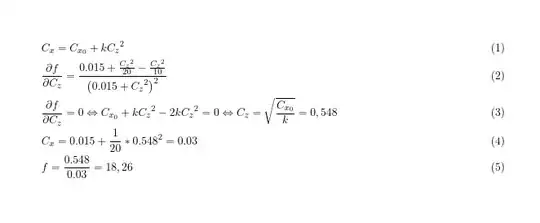
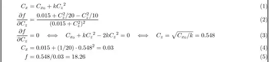
\begin{flalign}
C_x = C_{x_0} + k{C_z}^2 && \
\prt{f}{C_z} = \frac{0.015+\frac{{C_z}^2}{20}-\frac{{C_z}^2}{10}}{\left( 0.015+{C_z}^2 \right)^2}&&\
\prt{f}{C_z} = 0 \Leftrightarrow C_{x_0} + k{C_z}^2 - 2k{C_z}^2 = 0 \Leftrightarrow C_z = \sqrt{\frac{C_{x_0}}{k}} = 0,548 &&\
C_x = 0.015 + \frac{1}{20} * 0.548^2 = 0.03&&\
f = \frac{0.548}{0.03} = 18,26 &&
\end{flalign}
\end{document}
How can I fix my problem?



\documentclass[11pt, french,fleqn]{article}– David Carlisle Nov 21 '22 at 15:51flalignis "full length align" notflush leftand like all ams aligments has alignnmentrlrlrl...so as you have everything in the first column it is right aligned. If you do not want to align the=usegathernot(fl)align– David Carlisle Nov 21 '22 at 15:54