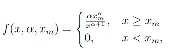
I am trying to rewrite an equation that looks like this:
The latex code I have written so far is:
\documentclass{article}
\begin{document}
[f(x,\alpha,x_m) = \biggl{ \frac {\alpha x_m^\alpha} {x_i^{\alpha + 1}}, x \ge x_m ]
\end{document}
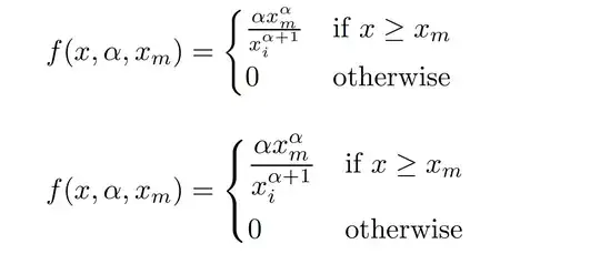
Which gives the following compilation:

How do I align the rest of the values I need as shown in the first pic.


casesenvironment for that:\[ f(x,\alpha,x_m) = \begin{cases} \frac {\alpha x_m^\alpha} {x_i^{\alpha + 1}}, & x \ge x_m \\ 0,& x < m \end{cases} \]– Celdor Nov 24 '22 at 20:34