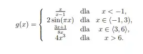
I want my pdf cases to look like that
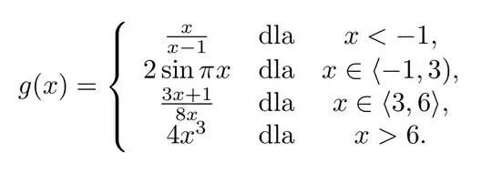
When I try to do it myself, I have this effect:
Here is my latex code:
\begin{equation*}
g(x)=
\begin{cases}
\frac{x}{x-1} & \textrm{dla}\quad x<-1, \\
2\sin{\pi x} & \textrm{dla}\quad x \in \langle -1,3), \\
\frac{3x+1}{8x} & \textrm{dla}\quad x \in \langle 3,6 \rangle , \\
4x^3 & \textrm{dla}\quad x>6.
\end{cases}
\end{equation*}
Please fix my code





\quad; the space there is nicely taken care of by the\arraycolsep. – barbara beeton Nov 25 '22 at 15:39