There are a few different techniques used here.
- For the "perhaps equal to" symbol, the symbol is drawn using TikZ and scaled to the height of a
\cong symbol using \scalerel* from the scalerel package. Since \cong changes size in scripts, the new symbol does also.
- For the "has some kind of relation to" symbol,
\mathpalette is used together with \rotatebox to rotate a ? symbol. Note: \rotatebox requires the graphicx package, which is loaded by scalerel.
- For the "reminiscent" symbol,
\mathpalette is again used, together with \ooalign to superimpose an = with a \wr symbol (the vertical \sim).
- Finally, for the "probably has nothing to do with" symbol,
\mathchoice is used since there are minor spacing adjustments needed for each style.

More details can be found in this question and its answers.
Here is the code:
\documentclass{article}
\usepackage{tikz, scalerel}
\newcommand{\perhaps}{\mathrel{\scalerel*{\tikz{
\useasboundingbox (0,-.2) rectangle (1,.6);
\drawline width=1.4pt, line cap=round, line join=round--(1,-.04)(0,.2)--(.4,.2)--(0,.5)(1,.2)--(.6,.2)--(1,.5);
}}{\cong}}}
\makeatletter
\newcommand{\somekind}{\mathrel{\mathpalette\some@kind\relax}}
\newcommand{\some@kind}[2]{%
\rotatebox[origin=c]{-90}{$\m@th#1?$}
}
\newcommand{\reminiscent}{\mathrel{\mathpalette\reminisc@nt\relax}}
\newcommand{\reminisc@nt}[2]{%
\ooalign{%
$\m@th#1=$\cr
\hidewidth$\m@th#1\wr$\hidewidth\cr
}%
}
\makeatother
\newcommand{\probnothing}{\mathrel{\mathchoice
{\ooalign{\rotatebox{90}{?}\cr\raisebox{1.7ex}{\rotatebox{-90}{?}}\cr}}
{\ooalign{\rotatebox{90}{?}\cr\raisebox{1.7ex}{\rotatebox{-90}{?}}\cr}}
{\ooalign{\raisebox{-.1ex}{\rotatebox{90}{$\scriptstyle ?$}}\cr\raisebox{1.25ex}{\rotatebox{-90}{$\scriptstyle ?$}}\cr}}
{\ooalign{\raisebox{-.1ex}{\rotatebox{90}{$\scriptscriptstyle ?$}}\cr\raisebox{1ex}{\rotatebox{-90}{$\scriptscriptstyle ?$}}\cr}}
}}
\begin{document}
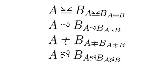
$A\perhaps B_{A\perhaps B_{A\perhaps B}}$
$A\somekind B_{A\somekind B_{A\somekind B}}$
$A\reminiscent B_{A\reminiscent B_{A\reminiscent B}}$
$A\probnothing B_{A\probnothing B_{A\probnothing B}}$
\end{document}
\mathchoice. – Davislor Nov 29 '22 at 01:23