This is what I have:
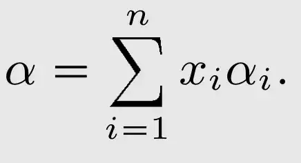
and this is what I need (picture taken from a beamer document):
I'd like to know the font that is being used in the second picture for the \sum command. Some of my code is this:
\documentclass[11pt, oneside]{book}
\usepackage{amsmath}
\usepackage{amssymb}
\usepackage{amsfonts}
\usepackage{amsthm}
\renewcommand\sfdefault{cmss}
\renewcommand{\familydefault}{\sfdefault}
\begin{document}
\begin{gather}
\alpha = \sum_{i=1}^n x_i \alpha_i
\end{gather}
\end{document}

