I would like to be able to hide the dividing line in the fraction that arises from applying a command such as \dfrac.
In particular, what I would like to do is take an expression such as the following:
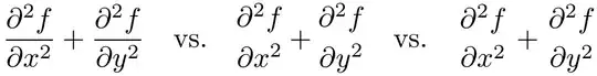
\dfrac{\partial^2 f}{\partial x^2} + \dfrac{\partial^2 f}{\partial y^2}
and create a duplicate of it which highlights only the fs. I can use \phantom to hide other symbols that occur in the partial derivatives, but I don't know how to use it to hide the fraction bar.
Could anybody suggest a way forward?

\genfractag, but you won the race... :-D – MadyYuvi Dec 13 '22 at 06:54\nolinefrac{\partial^2 f}{\partial x^2}with\genfrac{}{}{0pt}{}{\partial^2 f}{\partial x^2}, etc. For a more detailed follow-up, I suppose it might help if you provided some more information about this mysterious "app where macros cannot be defined". – Mico Dec 14 '22 at 05:50