I need mathbb symbols for 0 and 1. Currently I'm doing this using the bbold fonts. This works great:
\documentclass[10pt]{article}
\DeclareMathAlphabet{\mymathbb}{U}{bbold}{m}{n}
\usepackage{amsmath}
\begin{document}
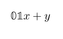
\begin{displaymath}
\mymathbb{0}
\mymathbb{1} x + y
\end{displaymath}
\end{document}
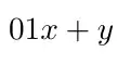
However, in another part of my document, I'm using sansmath. As soon as I include the sansmath package, the bbold fonts break, even if I don't use sansmath.
How can I get sansmath to stop breaking the other math fonts?
What's odd is it only seems to break for numbers. mymathbb{N} works just fine.

