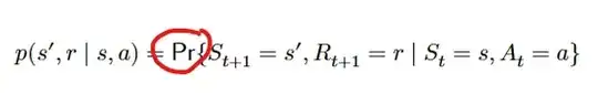
When I use the \Pr in math mode, it displays a different font rather than computer modern as below:

My MWE (in XeLaTeX):
\documentclass[aspectratio=32, hyperref=unicode, dvipsnames]{beamer}
\usefonttheme{professionalfonts}
\usefonttheme{serif}
\usetheme{Boadilla}
\usecolortheme{rose}
\beamertemplatenavigationsymbolsempty
\usepackage{datetime}
\usepackage{mathtools}
\usepackage{amssymb}
\let\mathbbalt\mathbb
\usepackage{unicode-math}
\let\mathbb\mathbbalt
\usepackage{polyglossia}
\setdefaultlanguage{english}
\usepackage{fontspec}
\setmainfont{Iwona}
\title{A title}
\author{Some authors}
\date{A date}
\begin{document}
\maketitle
\begin{frame}
$p(s',r\mid s,a) = \Pr{S_{t+1} = s', R_{t+1} = r \mid S_t = s, A_t = a}$
\end{frame}
\end{document}
Is there a way to force \Pr to use Computer Modern font there?
Thank you for all of your suggestions and answers. I found some more points that I think should be shared for other people that face this problem:
- I use Overleaf with TeXLive 2022 so the command
\usepackage[no-math]{fontspec}got the option clash:
The package fontspec has already been loaded with options:
[]
There has now been an attempt to load it with options
[no-math]
Adding the global options:
,no-math
to your \documentclass declaration may fix this.
put the no-math option to the preamble will fix this error:
\documentclass[aspectratio=32, hyperref=unicode, dvipsnames, no-math]{beamer}
- One can use another solution: by adding the option
mathrm=symto unicode-math package, the problem goes away.
\usepackage[mathrm=sym]{unicode-math}
Edit 1: update the title for clarification. Edit 2: adding anther solution.

\usepackage{datetime}to\setdefaultlanguage{english}and get the same output. I'd also suggest changing the title of the question to something similar toBeamer - serif font theme, wrong font for operatorsor similar. It more precisely describes the question. – daleif Jan 25 '23 at 09:08\Pris used to denote a probability – user94293 Jan 25 '23 at 09:25minimal examplefor a reason. Here the issue can be replicated with a smaller example. – daleif Jan 25 '23 at 09:36