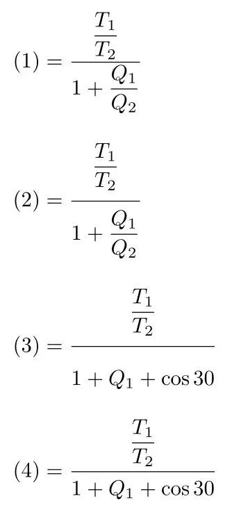
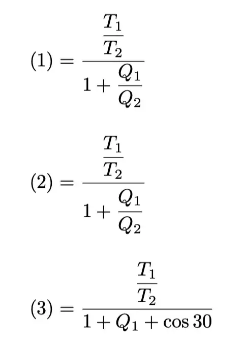
I found a solution here on Stack Exchange to separate the numerator and denominator further from the divide line. The solution is fine if you have fractions above and below the divide line but, if you have one fraction in the numerator and no fraction in the denominator, the denominator will look quite separated from the divide line.
I figured out the solution to adjust both sides as in equation (4). However, I wish someone could explain one thing that puzzles me. You can see the values in the \raisebox tags are numbers with decimal point. In fact, if you put any number without decimal, it won't work. Why is this? The numerator or denominator or both will disappear if an integer without decimal point is entered.
Here's the LaTeX code:
\documentclass{article}
\usepackage{amsmath}
\newcommand{\myfrac}[3][0pt]{\genfrac{}{}{}{}{\raisebox{#1}{$#2$}}{\raisebox{-#1}{$#3$}}}
\newcommand{\mfrac}[3][0pt]{\genfrac{}{}{}{}{\raisebox{9.5#1}{$#2$}}{\raisebox{-4.9#1}{$#3$}}}
\begin{document}
$(1) = \cfrac{\dfrac{T_1}{T_2}}{1+\dfrac{Q_1}{Q_2}}$ \ \vspace{12pt}
$(2) = \myfrac[12pt]{\dfrac{T_1}{T_2}}{1+\dfrac{Q_1}{Q_2}}$ \ \vspace{12pt}
$(3) = \myfrac[12pt]{\dfrac{T_1}{T_2}}{1+{Q_1}+{\cos{30}}}$ \ \vspace{12pt}
$(4) = \mfrac[12pt]{\dfrac{T_1}{T_2}}{1+{Q_1}+{\cos{30}}}$ \ \vspace{12pt}
\end{document}

