For a long time, I've been defining a long „equals to by definition“ symbol ≝ for [pdf|lua|xe]latex via
\newcommand*{\longDefiningEquals}{\stackrel{\text{def}}{=\joinrel=}}
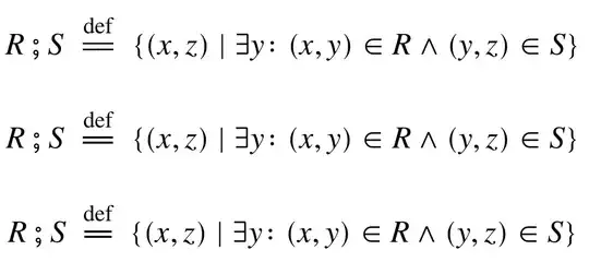
Its typical usage would be in a block formula such as
⨾ ≝ { (,) | ∃ : (,) ∈ ∧ (,) ∈ }
where there's enough space to accommodate a long equals-to-by-definition symbol (a short one, say, from TeX Gyre Termes Math, would semantically work, but here we wish to spend space on the main symbol of the formula). However, in my examples, the aforementioned command results in two small bumps in the middle of the equality sign. Here is an example to play with:
\documentclass{article}
\usepackage{iftex}
\ifTUTeX
\usepackage[math-style=ISO]{unicode-math}
\setmainfont[Ligatures=TeX]{TeX Gyre Termes}
\setsansfont{TeX Gyre Heros}[Scale=0.88]%%% Somewhat ok scaling.
\setmonofont{TeX Gyre Cursor}%%% No explicit turning on ligatures for the monospaced font.
\setmathfont[Ligatures=TeX]{TeX Gyre Termes Math}
\setmathfont[Ligatures=TeX,Extension=.otf,range={"2A3E},BoldFont=XITSMath-Bold]{XITSMath-Regular}%%% The fat semicolon comes from XITS.
\else
\usepackage[helvratio=.9]{newtxtext}% Scale the sans font at 90%.
\usepackage[slantedGreek,subscriptcorrection]{newtxmath}%% Should be loaded after the text font according to its manual. The default uppercase Greek letters should be slanted according to the SVMono manual.
\fi
\usepackage{graphics}
\newcommand*{\longDefiningEquals}{\stackrel{\text{def}}{=\joinrel=}}%%% long equality symbol that is used to define stuff
%\newcommand*{\longDefiningEquals}{\stackrel{\text{def}}{\scalebox{2}[1]{=}}}% Marjin's suggestion
\begin{document}
% \[R⨾\ \longDefiningEquals\ \{ (,) \mid ∃ \colon (,) ∈ ∧ (,) ∈ \}\]
% \[R⨾\ ≝ \{ (,) \mid ∃ \colon (,) ∈ ∧ (,) ∈ \}\]
\[\longDefiningEquals\]
\end{document}
The bumps sometimes become visible on the screen, especially at low resolutions:
Is there a better LONG ≝ symbol in a Type1 font or an OTF math font or, perhaps, can one construct a better symbol oneself? (Of course one can draw it via TikZ/PSTricks, but this would raise issues when such a symbol has to go into a TikZ/PS picture itself or when changing the font size.)




\stackrel{\text{def}}{\scalebox{2}[1]{=}}(with\scaleboxfrom thegraphicxpackage) be acceptable? – Marijn Feb 09 '23 at 18:58lua|xe|pdf}latex, but NOT withlatex(the DVI output is wrong). – Feb 09 '23 at 19:13extarrows: It provides\xlongequal{<stuff>}– Werner Feb 09 '23 at 19:21\resizebox{\widthof{def}}{\height}{=}(requires thecalcpackage), however this is even wider than the version with scale factor 2 because the bounding box width of "def" is wider than the letters themselves. – Marijn Feb 09 '23 at 21:34