I'm not convinced that it's an improvement to force (most) \sqrt expressions to have surds with the same height and depth. But, as always, if you really understand what you're doing, you'll probably be ok using the one-size-fits-almost-all approach.
The following, LuaLaTeX-based solution features (a) a utility LaTeX macro called \lsqrt and (b) two Lua functions: lsqrt does almost all of the real work, and checkroot (which is called by lsqrt) contains a list of conditions; if one (or more) of these conditions is met, \lsqrt does nothing special, i.e., it behaves like the basic \sqrt macro.
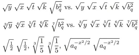
The default height of the horizontal bar of the square root symbol generated by \lsqrt is set so that something such as k^2 will just fit. Note that this is a bit taller than what the OP required; however, as the difference in heights is just 0.6pt (at least for Computer Modern with 10pt as the main document font size), I think it's justifiable to go for this ever so slightly greater height. Of course, if you prefer a height that accomodates k but not k^2, just change both instances of \\vphantom{k^2} to \\vphantom{k}. (Aside: the \\ double-backslash symbol occurs because for Lua, \ has a special meaning too; however, the Lua-special and TeX-special meanings of \ are completely different. To output a single backslash character in Lua, it's necessary to input \\.)

% !TEX TS-program = lualatex
\documentclass{article}
\usepackage{amsmath}
\usepackage{luacode} % for 'luacode*' env. and '\luastringN' macro
%% Lua-side code: 2 Lua functions: checkoptargroot, lsqrt
\begin{luacode*}
function checkroot ( s )
if s:find ( "\\[dt]?frac" ) -- \frac term
or s:find ( "\\int" ) -- integral symbol
or s:find ( "\\sum" ) -- summation symbol
or s:find ( "%^%s?%b{}" ) -- exponent term encased in matching curly braces
then
return true
else
return false
end
end
function lsqrt ( b , s ) -- this function does most of the work
if b=="" then -- no optional argument was provided to "\lsqrt"
if checkroot ( s ) then
tex.sprint ( "\\sqrt{".. s .."}" ) -- nothing special to do
else
tex.sprint ( "\\sqrt{\\smash{".. s ..
"}\\vphantom{k^2}}\\vphantom{"..s.."}" )
end
else -- need to handle non-empty optional argument
if checkroot ( s ) then
tex.sprint ( "\\sqrt["..b.."]{".. s .."}" ) -- nothing special to do
else
tex.sprint ( "\\sqrt["..b.."]{\\smash{".. s ..
"}\\vphantom{k^2}}\\vphantom{"..s.."}" )
end
end
end
\end{luacode*}
%% LaTeX-side code: utility macro to access the 'lsqrt' function
\newcommand\lsqrt[2][]{\directlua{lsqrt(\luastringN{#1},\luastringN{#2})}}
\begin{document}
$\sqrt{y}$ $\sqrt{x}$ $\sqrt{t}$ $\sqrt{k}$ $\sqrt{b_q^2}$ vs.\
$\lsqrt{y}$ $\lsqrt{x}$ $\lsqrt{t}$ $\lsqrt{k}$ $\lsqrt{b_q^2}$
\medskip
$\sqrt[3]{y}$ $\sqrt[4]{x}$ $\sqrt[5]{t}$ $\sqrt[6]{k}$ $\sqrt[7]{b_q^2}$ vs.\
$\lsqrt[3]{y}$ $\lsqrt[4]{x}$ $\lsqrt[5]{t}$ $\lsqrt[6]{k}$ $\lsqrt[7]{b_q^2}$
\medskip
$\sqrt{\frac{1}{2}}$ $\lsqrt{\frac{1}{2}}$,
$\sqrt[3]{\dfrac{1}{5}}$ $\lsqrt[3]{\dfrac{1}{5}}$,
$\sqrt{a_q^{-x^2/2}}$ $\lsqrt{a_q^{-x^2/2}}$
\end{document}
$\sqrt{x} \, \sqrt{y} \, \sqrt{X}$). This leads to 3 different square root signs (ugly). A solution is desireable because the adjustments by hand are annoying. – Weißer Kater Feb 12 '23 at 18:25\smash[b]or\phantomby hand. With LuaTeX automatic solutions should be possible. – Weißer Kater Feb 12 '23 at 19:16\sqrtfrom LaTeX will be redefined, but maybe someone will suggest a better version of\sqrthere for you. Just as a comparison, the\sqrtin ConTeXt has by default a strut. It does not ignore subscripts or characters with depth, or underbraces, though (how would that even work? these things can be huge and interference with other stuff will likely occur...). – mickep Feb 13 '23 at 06:29\fixsqrt, that doesn't attempt to scale at all and would be around the height of the current\sqrt{X}(basically a top-aligned √ symbol with a horizontal line on top spanning the content), and another variable-height version for content with fractions and sums and the like which would behave exactly like the current\sqrt{}. Of course implementation would be greatly simplified if the user actually inputs\fixsqrtwhen needed instead of LaTeX trying to guess – Marijn Feb 13 '23 at 13:14\sqrtor\fixsqrtis needed. Is that an accurate description of your requirement, or do you want something more complex? – Marijn Feb 13 '23 at 13:15