Example:
\documentclass{article}
\begin{document}
\
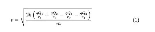
\begin{equation}v=\sqrt{\frac{2k\left(\frac{qQ_1}{r_i}+\frac{qQ_2}{r_i}-\frac{qQ_1}{r_f}-\frac{qQ_2}{r_f}\right)}{m}}\end{equation}
\end{document}
Example:
\documentclass{article}
\begin{document}
\
\begin{equation}v=\sqrt{\frac{2k\left(\frac{qQ_1}{r_i}+\frac{qQ_2}{r_i}-\frac{qQ_1}{r_f}-\frac{qQ_2}{r_f}\right)}{m}}\end{equation}
\end{document}
I assume that by "ugly", you mean that the square root symbol in question -- see the top row of the following screenshot -- somehow looks either "too big" (in an absolute sense) or "bigger than is otherwise optimal", i.e., in a relative sense. You may also be thinking about a second source of typographic ugliness: The \frac terms inside \left(...\right) may appear to be "too small" relative to the 2k and m terms.
If these assumptions are correct, I would like to suggest that you
remove the m term from the big/overall \frac expression and replace 2k with \frac{2k}{m}. This change has two beneficial effects: the terms in side the tall parentheses are now a lot bigger, and the square root symbol is now less tall
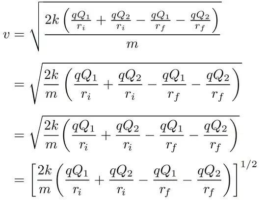
apply further tweaks: (a) encase the \left(...\right) material in a \smash[b] "wrapper", (b) load the mleftright package and switch from \left(...\right) to \mleft(...\mright), and (c) "snug" up the i and f subscripts to the associated letters r. The main benefit is a further reduction in the height of the square root symbol.
last but not least, replace the \sqrt{...} notation with \mleft[ ... \mright] ^{1/2} notation.
\documentclass{article}
\usepackage{amsmath,mleftright}
\newcommand\ri{r_{\mkern-2mu i}} % place subscripts closer to 'r'
\newcommand\rf{r_{\mkern-2mu f}}
\begin{document}
\addtolength\jot{4pt}
\begin{align*}
v&= \sqrt{\frac{2k \left(\frac{qQ_1}{r_i}+\frac{qQ_2}{r_i}
-\frac{qQ_1}{r_f}-\frac{qQ_2}{r_f}\right)}{m}} \\
&= \sqrt{\frac{2k}{m}\left(\frac{qQ_1}{r_i}+\frac{qQ_2}{r_i}
-\frac{qQ_1}{r_f}-\frac{qQ_2}{r_f}\right)} \\
&= \sqrt{\frac{2k}{m}\smash[b]{%
\mleft(\frac{qQ_1}{\ri}+\frac{qQ_2}{\ri}
-\frac{qQ_1}{\rf}-\frac{qQ_2}{\rf}\mright)}} \\
&= \mleft[ \frac{2k}{m}
\mleft(\frac{qQ_1}{\ri}+\frac{qQ_2}{\ri}
-\frac{qQ_1}{\rf}-\frac{qQ_2}{\rf}\mright)
\mright]^{1/2}
\end{align*}
\end{document}
\frac{2k}{m}\frac{... is more logical as well as more aesthetically pleasing
– Chris H
Feb 21 '23 at 12:12