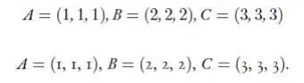
I am a new TeX user and was wondering if there is any way to keep my main font (Day Roman) while typing mathematical expressions inbetween dollar signs. Here is an example, I would like my font to look like the bottom three points A, B and C, rather than the first row. I found a paper with the style I would like to use, see the bottom picture.
Is there any way I can stop the dollar signs from altering the font? Here is my preamble (I apologize if it's messy, if things are not needed and/or are overlapping):
\documentclass[10pt,a4paper]{article}
\usepackage[utf8]{inputenc}
\usepackage{amsmath}
\usepackage{amssymb}
\usepackage{ebgaramond,ebgaramond-maths}
\usepackage[T1]{fontenc}
\usepackage{fontspec}
\setmainfont{Dayrom.ttf}
\begin{document}
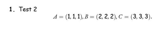
\textbf{1. }\text{Test 2}\
$$A = (1, 1, 1), B = (2, 2, 2), C = (3, 3, 3)$$.
\centerline{$A =$ $($1, 1, 1$)$, $B =$ $($2, 2, 2$)$, $C =$ $($3, 3, 3$)$.}
\end{document}
As you can see, I have to avoid using dollar signs around numbers as it changes their font.
I have downloaded the Day Roman font and attached it to my file. I use XeLaTeX as compiler.
Thanks in advance.



\[…\]preferable to$$? – Werner Mar 02 '23 at 22:24mathspecorsetmathfontcommand e.g. unicode-math: Use text font for numerical digits in mathmode - TeX - LaTeX Stack Exchange. or xetex - How to set a font everywhere (including math mode) in XeLaTeX? - TeX - LaTeX Stack Exchange / – user202729 Mar 02 '23 at 22:31