Arrows are only placed at the first and last subpath of a path, see https://tikz.dev/tikz-arrows#sec-16.2 .
In your example (C) -- (10,3) -| (P.north) and (S) -- (10,0) -| (P.south) are two subpaths (separated by move-to path operations), thus the arrow is only added to the (S) -- (10,0) -| (P.south).
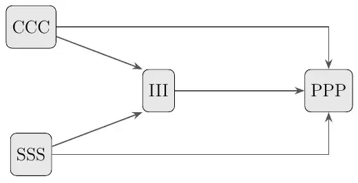
Instead of splitting it into multiple paths, you can keep using edge to add multiple arrows to a single path, with some extra options:
(node a) edge[to path={-| (\tikztotarget)}] (node b)
see @Scz's answer to Tikz right-angle edges between nodes | TeX-SX#48397.
Complete adapted example:
- Arrows are colored the same color as lines, using
-{Stealth[black!70]} with arrows.meta library loaded.
- New style keys are named
to path hv and to path vh, because using | is key name ends with errors.
ConTeXt sets catcode of | from 12 (other) to 13 (active), which I deduce is the cause. Never being a regular ConTeXt user, I just worked around it. Also see Which symbols need to be escaped in ConTeXt? | TeX-SX#48933.
Update: this works but the expressiveness is lost: to path -\|/.style={...}.
% !TeX TS-program = context %.tex
\usemodule[tikz]
\usetikzlibrary{arrows.meta, calc, positioning, shapes}
\tikzset{
arrow/.style={-{Stealth[black!70]}, thick, draw=black!70},
% based on https://tex.stackexchange.com/a/250515
to path hv/.style={to path={-| (\tikztotarget)}},
to path vh/.style={to path={|- (\tikztotarget)}}
}
\starttext
\starttikzpicture[ampersand replacement=\&]
% \draw[help lines](0,-5) grid (10,5);
\node[rectangle, rounded corners, draw, fill=white!90!black, minimum height=1cm] at (3,0) (S) {SSS};
\node[rectangle, rounded corners, draw, fill=white!90!black, minimum height=1cm] at (3,3) (C) {CCC};
\node[rectangle, rounded corners, draw, fill=white!90!black, minimum height=1cm] at (6,1.5) (I) {III};
\node[rectangle, rounded corners, draw, fill=white!90!black, minimum height=1cm] at (10,1.5) (P) {PPP};
\path[arrow]
(S) edge (I.south west)
(C) edge (I.north west)
(I) edge (P)
(C) edge[to path hv] (P.north)
(S) edge[to path hv] (P.south)
;
\stoptikzpicture
\stoptext
