who is know how I can make this line like bellow?
or like.
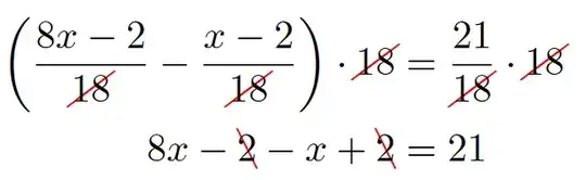
The cancel package can be used for this.
\documentclass{article}
\usepackage{mathtools,xcolor,cancel}
\renewcommand\CancelColor{\color{red}}
\begin{document}
\begin{align}
\biggl(\frac{8x-2}{\cancel{18}}-\frac{x-2}{\cancel{18}}\biggr) \cdot \cancel{18} &= \frac{21}{\cancel{18}} \cdot \cancel{18}
\
8x - \bcancel{2} - x + \bcancel{2} &= 21
\end{align}
\end{document}
The LaTeX code associated with the image would be:
\begin{align*}
( \frac{8x - 2}{{\color{Red} \cancel{{\color{Black} 18}}}} - \frac{x - 2}{{\color{Red} \cancel{{\color{Black} 18}}}} ) \times {\color{Red} \cancel{{\color{Blue} 18}}} = \frac{21}{{\color{Red} \cancel{{\color{Black} 18}}}} \times {\color{Red} \cancel{{\color{Blue} 18}}}\\
8x - 2 - ( x - 2 ) = 21\\
8x - {\color{Red} \bcancel{{\color{Black} 2}}} - x + {\color{Red} \bcancel{{\color{Black} 2}}} = 21\\
\end{align*}
The used commands are:
\bcancel{} strikes through the content from top left to bottom right\cancel{} strikes through the content from bottom left to top right{\color{add color} {}} gives the contained objects the color\frac{}{} creates a fraction bar\times creates the symbol of the cross product\begin{align*} and \end{align*} contains a alignmend\\ implies a line breakPersonally, however, I would prefer this:
\begin{align*}
\left( \frac{8 \cdot x - 2}{{\color{Red} \cancel{{\color{Black} 18}}}} - \frac{x - 2}{{\color{Red} \cancel{{\color{Black} 18}}}} \right) \cdot {\color{Red} \cancel{{\color{Blue} 18}}} &= \frac{21}{{\color{Red} \cancel{{\color{Black} 18}}}} \cdot {\color{Red} \cancel{{\color{Blue} 18}}}\\
8 \cdot x - 2 - \left( x - 2 \right) &= 21\\
8 \cdot x - {\color{Red} \bcancel{{\color{Black} 2}}} - x + {\color{Red} \bcancel{{\color{Black} 2}}} &= 21\\
\end{align*}
The new used commands are:
& aligns\cdot creates a center dot\left( \right) creates brackets that are as big as their content
cancelpackage – David Carlisle Mar 14 '23 at 08:35