I'm trying to integrate emac's calc package (especially calc-embedded) into my work flow.
Basically, I'm manipulating / solving equations in calc, and then exporting results into LaTeX / org files. (It's really great, I highly recommend calc)
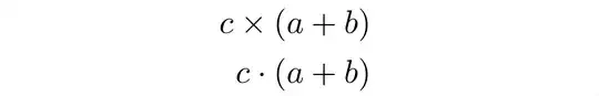
However, one thing really bugging me is: calc (with latex display mode) uses \times symbol for multiplication. I much much prefer \cdot instead.
I tried to fix this by customizing calc's display mode, but no avail. (link).
It seems, changing \times with \cdot from latex side seems to be the easier option.
Basically my question: how to redefine \times such that every time \times comes up, latex uses dot (from \cdot). And after this redefinition, is it possible to re-use x (from original \times)?


calcpackage), so this might be totally wrong: What about\let\oldtimes\timesand\let\times\cdot? Then\timesshould give a centered dot and\oldtimesa cross. – Οὖτις Mar 22 '23 at 06:54