I know this is a duplicate but I can't find the original post.
Square brackets do not display with the correct spacing around = or \cong.
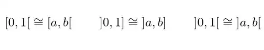
For example :
$[0,1[ \cong [a,b[ \hspace{5ex} ]0,1] \cong ]a,b] \hspace{5ex} ]0,1[ \cong ]a,b[$
displays
I know this is a duplicate but I can't find the original post.
Square brackets do not display with the correct spacing around = or \cong.
For example :
$[0,1[ \cong [a,b[ \hspace{5ex} ]0,1] \cong ]a,b] \hspace{5ex} ]0,1[ \cong ]a,b[$
displays
by default [ is a mathopen and ] is mathclose, but you can force other interpretations
\documentclass{article}
\begin{document}
$[0,1\mathclose[ \cong [a,b\mathclose[ \hspace{5ex} \mathopen]0,1] \cong
\mathopen]a,b] \hspace{5ex} \mathopen]0,1\mathclose[ \cong \mathopen]a,b\mathclose[$
\end{document}
In practice you would want to hide this in a suitable command eg using mathtools \DeclarePairedDelmiter :
\DeclarePairedDelmiter\oointerval][
\DeclarePairedDelmiter\ocinterval]]
\DeclarePairedDelmiter\cointerval[[
\DeclarePairedDelmiter\ccinterval[]
\mathopen{]}0,1]and[0,1\mathclose{[}– David Carlisle Mar 23 '23 at 12:01(0,1]and[0,1), like any normally functioning mathematician does. – Gaussler Mar 23 '23 at 13:16