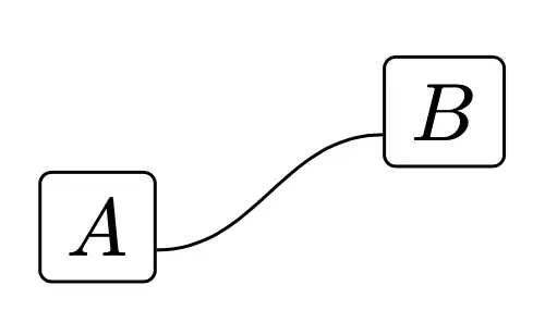
I guess this is kind of a long shot. The MWE below produces the following output:
I would like to replace the wire with a 'hollow' one that makes the insides of the nodes appear as one contiguous area, so that it looks more like this mockup:
The important thing is I don't just want to draw this one picture. This is part of a library I'm writing, so I really want to make a command that says "draw a hollow wire from this coordinate to this other coordinate." The coordinates will always be placed on a vertical edge of a shape, as they are in the example.
Something like this would be even better, if there's a way to do it seamlessly:
Here's the MWE:
\documentclass{article}
\usepackage{tikz}
\begin{document}
\begin{tikzpicture}
\node[draw,rounded corners=0.5mm] (a) at (0,0) {$A$};
\node[draw,rounded corners=0.5mm] (b) at (1.5,0.5) {$B$};
\coordinate (a out) at ([yshift=-1mm]a.east);
\coordinate (b in) at ([yshift=-1mm]b.west);
\draw (a out) to[out=0,in=180] (b in);
\end{tikzpicture}
\end{document}







-\pgflinewidthto-\pgflinewidth-0.01mm, but that didn't make it go away. – N. Virgo Mar 24 '23 at 02:23