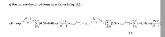
I have used a big equation in latex. Half of my code is not shown in latex. Here is my equation:
\begin{center}
\begin{equation}\label{HammingTappering}
AF = \exp^{-j\dfrac{N-1}{2} \Psi} \sum_{n=0}^{N-1} [0.54-0.46\cos(\frac{2n\pi}{N-1})\times \exp^{jn\psi}] = \exp^{-j\dfrac{N-1}{2} \Psi}\times ( \sum_{n=0}^{N-1} [0.54\times \exp^{jn\psi}] + \sum_{n=0}^{N-1} [-0.46\cos(\frac{2n\pi}{N-1})\times \exp^{jn\psi}]) = \exp^{-j\dfrac{N-1}{2} \Psi}\times (0.54\times \exp^{j\dfrac{N-1}{2} \Psi}\times \dfrac{\exp^{j\dfrac{N}{2} \Psi} - exp^{-j\dfrac{N}{2} \Psi}}{\exp^{j\dfrac{\Psi}{2}} - exp^{-j\dfrac{\Psi}{2} }} + \sum_{n=0}^{N-1} [-0.23\times [\exp^{j\dfrac{2n\pi}{N-1}} + \exp^{-j\dfrac{2n\pi}{N-1}}]\times \exp^{jn\psi}]) = \exp^{-j\dfrac{N-1}{2} \Psi}\times (0.54\times \exp^{j\dfrac{N-1}{2} \Psi}\times \dfrac{\sin(\dfrac{N}{2}\psi)}{\sin(\dfrac{\psi}{2})} + \sum_{n=0}^{N-1} [-0.23\times [\exp^{j\dfrac{2n\pi}{N-1}} + \exp^{-j\dfrac{2n\pi}{N-1}}]\times \exp^{jn\psi}]) = \exp^{-j\dfrac{N-1}{2} \Psi}\times (0.54\times \exp^{j\dfrac{N-1}{2} \Psi}\times \dfrac{\sin(\dfrac{N}{2}\psi)}{\sin(\dfrac{\psi}{2})} + [-0.23\times [\exp^{j(\dfrac{2\pi}{N-1}+\psi)\dfrac{N-1}{2}}\times \dfrac{\sin((\dfrac{2\pi}{N-1}+\psi)\dfrac{N}{2})}{\sin((\dfrac{2\pi}{N-1}+\psi))} + \exp^{j(\dfrac{-2\pi}{N-1}+\psi)\dfrac{N-1}{2}}\times \dfrac{\sin((\dfrac{-2\pi}{N-1}+\psi)\dfrac{N}{2})}{\sin((\dfrac{-2\pi}{N-1}+\psi))}]])=0.54\times \dfrac{\sin(\dfrac{N}{2}\psi)}{\sin(\dfrac{\psi}{2})} + [0.23\times [ \dfrac{\sin((\dfrac{2\pi}{N-1}+\psi)\dfrac{N}{2})}{\sin((\dfrac{\pi}{N-1}+\dfrac{\psi}{2}))} + \dfrac{\sin((\dfrac{-2\pi}{N-1}+\psi)\dfrac{N}{2})}{\sin((\dfrac{-\pi}{N-1}+\dfrac{\psi}{2}))}]]
\eqref{HammingTappering}
\end{equation}
\end{center}
The result would be like this:
What should I do?

