I am starting to lose my mind because of this weird bug that I don't understand how to solve. I do my homework with latex in Hebrew and I use babel to set it up. I have a custom package and class to define my style and commands. After fighting for hours to get it to compile without errors I found out that the \Longrightarrow is broken:

I tried to create a minimal example to reproduce the issue:
% !TeX spellcheck = he_HE
\documentclass[a4paper, 12pt]{extarticle}
\usepackage{amsmath}
\usepackage{enumitem}
\usepackage{witharrows}
\usepackage[bidi=basic, provide=*]{babel}
\babelprovide[alph=letters, Alph=letters]{hebrew}
\babelprovide{english}
\babelfont[hebrew]{rm}[Renderer=Harfbuzz, ItalicFont=*-Regular, ItalicFeatures={FakeSlant=0.3}]{Assistant}
\babelfont[hebrew]{sf}[Renderer=Harfbuzz, ItalicFont=*-Regular, ItalicFeatures={FakeSlant=0.3}]{Assistant}
\babelfont[hebrew]{tt}[Renderer=Harfbuzz, ItalicFont=*-Regular, ItalicFeatures={FakeSlant=0.3}]{Assistant}
\AddToHook{begindocument/end}{\selectlanguage{hebrew}}
\begin{document}
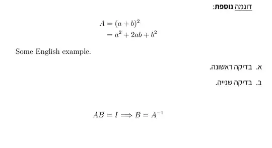
דוגמה \textit{לחישוב}:
\begin{DispWithArrows}
A &= (a + b)^2 \Arrow{נפתח את הסוגריים בביטוי} \
&= a^2 + 2ab + b^2
\end{DispWithArrows}
\underline{דוגמה} \textbf{נוספת}:
\begin{align}
A &= (a + b)^2\
&= a^2 + 2ab + b^2
\end{align}
\begin{otherlanguage}{english}
Some English example.
\end{otherlanguage}
\begin{enumerate}[leftmargin=, label=\alph.]
\item
בדיקה ראשונה.
\item
בדיקה שנייה.
\end{enumerate}
[ AB = I \Longrightarrow B = A^{-1} ]
\end{document}
but when compiling it, it worked as expected:

I went over the code trying to disable single features but couldn't find the source of this problem. The code that handles babel is identical to the code in the example above. Here are stripped versions of my files:
my-style.sty:
\NeedsTeXFormat{LaTeX2e}
\ProvidesPackage{my-style}[2023/03/06 My personal style and custom commands]
\RequirePackage[table]{xcolor}
\RequirePackage{tikz}
\RequirePackage{tkz-base, tkz-euclide}
\RequirePackage{pgfplots}
\RequirePackage{graphicx}
\RequirePackage[most]{tcolorbox}
\RequirePackage{wrapfig}
\RequirePackage{titlesec}
\RequirePackage{xifthen}
\RequirePackage{xparse}
\RequirePackage{geometry}
\RequirePackage{amsmath}
\RequirePackage{amsfonts}
\RequirePackage{amssymb}
\RequirePackage{amsthm}
\RequirePackage{mathrsfs}
\RequirePackage{enumitem}
\RequirePackage{moreenum}
\RequirePackage{bm}
\RequirePackage{upgreek}
\RequirePackage[euler]{textgreek}
\RequirePackage{import}
\RequirePackage{esint}
\RequirePackage{mathtools}
\RequirePackage[thicklines]{cancel}
\RequirePackage[per-mode=fraction, exponent-product=\cdot]{siunitx}
\RequirePackage[italicdiff]{physics}
\RequirePackage{nicefrac}
\RequirePackage{parskip}
\RequirePackage{setspace}
\RequirePackage{dsfont}
\RequirePackage{etoolbox}
\RequirePackage[bottom]{footmisc}
\RequirePackage{multicol}
\RequirePackage{ulem}
\RequirePackage{pgfkeys}
\RequirePackage{nicematrix}
\RequirePackage{witharrows}
% Hebrew option
\newboolean{hebrew}
\setboolean{hebrew}{false}
\DeclareOption{hebrew}{\setboolean{hebrew}{true}}
\DeclareOption*{\PackageWarning{my-style}{Unknown '\CurrentOption'}}
\ProcessOptions\relax
% Font and lanuguage settings
\RequirePackage[bidi=basic, provide=*]{babel}
\babelprovide{english}
\babelprovide[alph=letters, Alph=letters]{hebrew}
\babelfont[hebrew]{rm}[Renderer=Harfbuzz, ItalicFont=*-Regular, ItalicFeatures={FakeSlant=0.3}]{Assistant}
\babelfont[hebrew]{sf}[Renderer=Harfbuzz, ItalicFont=*-Regular, ItalicFeatures={FakeSlant=0.3}]{Assistant}
\babelfont[hebrew]{tt}[Renderer=Harfbuzz, ItalicFont=*-Regular, ItalicFeatures={FakeSlant=0.3}]{Assistant}
\ifthenelse{\boolean{hebrew}}{
\AddToHook{begindocument/end}{\selectlanguage{hebrew}}
}{
\AddToHook{begindocument/end}{\selectlanguage{english}}
}
% witharrows options
\WithArrowsOptions{displaystyle}
\tikzset{
WithArrows/arrow/.append style = {
font= \small
}
}
\RequirePackage{hyperref}
\RequirePackage{fancyhdr}
\hypersetup{
colorlinks,
linkcolor=blue
}
\NewDocumentCommand{\OverSet}{ O{0cm} m m }{
\overset{\raise #1 \hbox{(#2)}}{#3}
}
\NewDocumentCommand{\UnderSet}{ O{0cm} m m }{
\underset{\lower #1 \hbox{(#2)}}{#3}
}
\NewDocumentCommand{\claptext}{ m }{\mathclap{\text{#1}}}
\NewDocumentCommand{\Transpose}{ s m }{
{\IfBooleanTF{#1}{\pqty{#2}}{#2}}^{\mathrm{t}}
}
\NewDocumentCommand{\InverseTranspose}{ s m }{
{\IfBooleanTF{#1}{\pqty{#2}}{#2}}^{-\mathrm{t}}
}
\NewDocumentCommand{\HermitianTranspose}{ s m }{
{\IfBooleanTF{#1}{\pqty{#2}}{#2}}^{\dagger}
}
\NewDocumentCommand{\InverseHermitianTranspose}{ s m }{
{\IfBooleanTF{#1}{\pqty{#2}}{#2}}^{-\dagger}
}
\NewDocumentCommand{\Conjugate}{ s m }{
\IfBooleanTF{#1}{\pqty{#2}}{#2}^{\ast}
}
% Physics commands
\NewDocumentCommand{\IdentityOperator}{}{\hat{I}}
\NewDocumentCommand{\Change}{ m }{\mathop{\Delta#1}}
homework.cls:
\NeedsTeXFormat{LaTeX2e}
\ProvidesClass{homework}[2022/11/01 My custom class for homework]
\LoadClass[a4paper, 12pt]{extarticle}
\RequirePackage{my-style}
\DeclareOption{hebrew}{\PassOptionsToPackage{hebrew}{my-style}}
\DeclareOption*{\PassOptionsToClass{\CurrentOption}{extarticle}}
\ProcessOptions\relax
\geometry{left=2cm, right=2cm, top=2cm, bottom=2cm}
% HomeWork options
\NewExpandableDocumentCommand{\Course}{}{}
\NewExpandableDocumentCommand{\StudentId}{}{#########}
\NewExpandableDocumentCommand{\StudentEmail}{}{email@example.com}
\NewExpandableDocumentCommand{\HWDate}{}{\today}
\ifthenelse{\boolean{hebrew}}{
\NewExpandableDocumentCommand{\Homework}{}{תרגיל בית}
\NewExpandableDocumentCommand{\StudentName}{}{שם הסטודנט}
}
{
\NewExpandableDocumentCommand{\Homework}{}{Homework assignment}
\NewExpandableDocumentCommand{\StudentName}{}{}
}
\NewDocumentCommand{\SetCourse}{ m }{\RenewDocumentCommand{\Course}{}{#1}}
\NewDocumentCommand{\SetHomework}{ m }{\RenewDocumentCommand{\Homework}{}{#1}}
\NewDocumentCommand{\SetStudentName}{ m }{\RenewDocumentCommand{\StudentName}{}{#1}}
\NewDocumentCommand{\SetStudentId}{ m }{\RenewDocumentCommand{\StudentId}{}{#1}}
\NewDocumentCommand{\SetStudentEmail}{ m }{\RenewDocumentCommand{\StudentEmail}{}{#1}}
\NewDocumentCommand{\SetHWDate}{ m }{\RenewDocumentCommand{\HWDate}{}{#1}}
% Styling customizations
\ifthenelse{\boolean{hebrew}}{
% Customize title
\titlelabel{חלק \thetitle}
}{}
\NewDocumentCommand{\Appendix}{ s }{
\IfBooleanF{#1}{\newpage}
\appendix
\ifthenelse{\boolean{hebrew}}{
\renewcommand{\thesection}{\arabic{section}}
% Customize title
\titlelabel{נספח \thetitle\quad}
}{}
}
% Homework functions
\newcounter{ProblemNum}
\newcounter{SubProblemNum}[ProblemNum]
\NewExpandableDocumentCommand{\TheProblemNum}{}{\arabic{ProblemNum}}
\ifthenelse{\boolean{hebrew}}{
\NewExpandableDocumentCommand{\TheSubProblemNum}{}{\alph{SubProblemNum}}
}{
\NewExpandableDocumentCommand{\TheSubProblemNum}{}{\arabic{SubProblemNum}}
}
\NewDocumentCommand{\Section}{ m }{
\phantomsection
\addcontentsline{toc}{section}{#1}
\section*{#1}
}
\NewDocumentCommand{\Problem}{ s o }{
\IfBooleanF{#1}{\newpage}
\stepcounter{ProblemNum}
\phantomsection
\ifthenelse{\boolean{hebrew}}{
\addcontentsline{toc}{subsection}{שאלה \TheProblemNum \IfNoValueF{#2}{\; #2}}
\subsection*{שאלה \TheProblemNum \IfNoValueF{#2}{\; #2}}
}{
\addcontentsline{toc}{subsection}{Question \TheProblemNum \IfNoValueF{#2}{\; #2}}
\subsection*{Question \TheProblemNum \IfNoValueF{#2}{\; #2}}
}
}
\NewDocumentCommand{\Solution}{}{
\phantomsection
\ifthenelse{\boolean{hebrew}}{
\addcontentsline{toc}{subsubsection}{פתרון}
\subsubsection{פתרון}
}{
\addcontentsline{toc}{subsubsection}{Solution}
\subsubsection{Solution}
}
}
\NewDocumentCommand{\Part}{ o }{
\IfNoValueTF{#1}{
\stepcounter{SubProblemNum}
\phantomsection
\ifthenelse{\boolean{hebrew}}{
\addcontentsline{toc}{subsubsection}{סעיף \texorpdfstring{\TheSubProblemNum}{\arabic{SubProblemNum}}}
\subsubsection{סעיף \TheSubProblemNum}
}{
\addcontentsline{toc}{subsubsection}{Part \texorpdfstring{\TheSubProblemNum}{\arabic{SubProblemNum}}}
\subsubsection{Part \TheSubProblemNum}
}
}{
\phantomsection
\ifthenelse{\boolean{hebrew}}{
\addcontentsline{toc}{subsubsection}{סעיף #1}
\subsubsection{סעיף #1}
}{
\addcontentsline{toc}{subsubsection}{Part #1}
\subsubsection{Part #1}
}
}
}
% Theorems and proofs
\ifthenelse{\boolean{hebrew}}{
\newtheorem{lemma}{למה}[ProblemNum]
}{
\newtheorem{lemma}{Lemma}[ProblemNum]
}
% Lists
\newlist{QuestionParts}{enumerate}{2}
\setlist[QuestionParts, 1]{align=left, leftmargin=, label=\alph.}
\setlist[QuestionParts, 2]{align=right, label=\arabic*.}
\newlist{SubParts}{enumerate}{1}
\setlist[SubParts, 1]{align=left, labelsep=0pt, leftmargin=0pt, labelwidth=, label=\uline{חלק \arabic}}
\NewDocumentCommand{\nitem}{ o }{
\IfNoValueTF{#1}{
\item\mbox{}\
}{
\item[#1]\mbox{}\
}
}
% Hyperref and fancyhdr setup
\hypersetup{
pdfauthor={\StudentName},
pdftitle={\Homework},
}
\pdfstringdefDisableCommands{\let;\empty}
\setlength{\headheight}{15pt}
\ifthenelse{\boolean{hebrew}}{
\lhead{שאלה \arabic{ProblemNum}}
}{
\lhead{Question \arabic{ProblemNum}}
}
\chead{\Course}
\rhead{\Homework}
\lfoot{}
\cfoot{\thepage}
\rfoot{}
\pagestyle{fancy}
main.tex:
% !TeX spellcheck = he_HE
\documentclass[hebrew]{homework}
\SetCourse{פיזיקה קוונטית 1}
\SetHomework{תרגיל בית 3}
\begin{document}
\tableofcontents
\import{./}{q1.tex}
\end{document}
q1.tex:
% !TeX spellcheck = he_HE
\Problem[צמוד הרמיטי]
\[
\HermitianTranspose*{\hat{O}^{-1}}\HermitianTranspose{\hat{O}} = \HermitianTranspose*{\hat{O}\hat{O}^{-1}} = \HermitianTranspose{\IdentityOperator} = \IdentityOperator
\Longrightarrow \tcbhighmath{\HermitianTranspose*{\hat{O}^{-1}} = \pqty{\HermitianTranspose{\hat{O}}}^{-1}}
\]
Compiling main.tex with lualatex produces the first picture. As I said before, I compared these files with the example above for hours, but couldn't find the source of this annoying bug. If someone could figure out what is happening here and how how to solve it, I'd really appreciate it.
P.S: I am using the font Assistant.





amsmath(and all packages loading it) after the loading ofbabeladn the\babelfontcommands. It should fix it. Details in the answers... – user691586 Apr 24 '23 at 10:26amsmath,amsfonts,amssymb,amsthm,mathtools,pgfplots,upgreek,tcolorbox(the latter probably because of[most],moreenum. (some I did not check really, at least moving all of them after the font set-up appears to work at my locale). – user691586 Apr 24 '23 at 10:38unicode-mathbeforefontspec. It also fix the distortion when using12ptfont size. – Udi Fogiel Apr 24 '23 at 10:40unicode-mathinternally loadsamsmath, so you don't need to load both, andfontspecisunicode-mathaware. Alsoamssymbloadsamsfontsso you don't need to load the latter if you use the former. – Udi Fogiel Apr 24 '23 at 10:46unicode-mathwhich is a very large dependency only to fix that would not be my preferred method... – user691586 Apr 24 '23 at 16:01unicode-mathis a bit hefty, but I think today it is better to work with .otf/.ttf fonts, but that can be subjective. Despite that, I think your workaround does not solve the distortion when using12ptas the default size. See https://tex.stackexchange.com/a/4686/264024 – Udi Fogiel Apr 24 '23 at 17:3312ptwhich as the 2010 answer you give the link too explains finally boils down to core issues or features of the venerable Knuth fonts and definitely applies to pdflatex too, where usingunicode-mathis not an option! But for pdflatex we can use other math font, for exampletxfonts(ornewtxmath) and this fixes the issue there. As perlualatex/xelatexone can also use for exampletxfonts(and thenno-mathforfontspec). Only to say alternatives exist. – user691586 Apr 24 '23 at 17:51