I am coming from this thread Have characters (subscripts) in equation mode occupy the same width to make my equation occupy the same width. The solution is to use alignat. Now I add in 2 more equations above and the spacing goes wild. How do I fix this ? Ive tried a bunch of random things but they all end up looking like garbage.
\documentclass{article}
\usepackage{tabularx}
\usepackage{booktabs}
\usepackage{graphicx}
\usepackage{amsmath}
\begin{document}
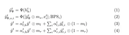
\begin{alignat}{4}
\hat{y}{\Psi}^t &= \Psi(h^t\text{h}) \
\hat{y}^t_{\Phi,s,i} &= \Phi([\hat{y}{\Psi}^t \odot m_s,x_i^t];\text{BPS}_i) \label{eq:doublenets} \
\hat{y}^t &= \alpha^t{l,\text{h}}\hat{y}^t &&\odot m_l &&+ \mathop{\textstyle\sum_{i}} \alpha^t_{l,i}\hat{y}^t_{l,i} &&\odot (1 - m_l) \label{eq:update1} \
\hat{y}^t &= \alpha^t_{r,\text{h}}\hat{y}^t &&\odot m_r &&+ \mathop{\textstyle\sum_{i}} \alpha^t_{r,i}\hat{y}^t_{r,i} &&\odot (1 - m_r) \label{eq:update2}
\end{alignat}
\end{document}



&. – mickep Apr 25 '23 at 14:50