0

I have read this post Need left large curly bracket that allows alignment in align environment and known the cases environment. Now I have an align environment and hope that there is a large curly bracket on the left of all the three equations, just like what cases does, but it labels all of the equations separately. Thanks for any reply.

My code:

\documentclass{article}
\usepackage{amsmath}
\begin{document}
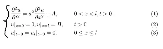
    \begin{alignat}{2}
         & \frac{\partial^2u}{\partial t^2}=a^2\frac{\partial^2u}{\partial x^2}+A, && \qquad 0<x<l,t>0 \\
         & u|_{x=0}=0,u|_{x=l}=B, && \qquad t>0 \\
         & u|_{t=0}=u_t|_{t=0}=0. && \qquad 0\leq x\leq l
    \end{alignat}
\end{document}

And the result I want is like: enter image description here

  • @cabohah Ah, I have noticed the cases package before, but it seemed to work badly with some settings of my document, so I thought this package did not meet my needs. I just tried and finally it worked well on a fresh document, and it actually solve my problem. Thanks for your reply. – Little_Ye233 May 08 '23 at 09:07

0 Answers0