I want to have the equations of my document numbered in the same manner as the other newtheorem environments which share the same counter [section]. The usual approach is to use
\numberwithin{equation}{counter}
but this produces a numbering in the form (counter. number of the equation), while I would like it to be simply (counter) as the other environments.
To make an explicit example: my tex file is something along these lines
\documentclass{amsart}
\newtheorem{theorem}{Theorem}[section]
\newtheorem{proposition}[theorem]{Proposition}
\numberwithin{equation}{theorem}
\begin{document}
\section{Section 1}
\begin{theorem}
Theorem 1.1
\end{theorem}
\begin{equation}
1+2=3
\end{equation}
\begin{proposition}
Proposition 1.2
\end{proposition}
\begin{equation}
a+b=c
\end{equation}
\end{document}
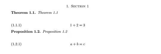
You can see the first equation is labeled (1.1.1) and the second (1.2.1). What I would like is to have the first equation to be enumerated (1.2), the proposition after that (1.3) and the final equation (1.4). That is, I would like the equation numbering to follow the same format as the one for the newtheorem environments, while with numberwithin first I get the last number used when invoking an environment with the [theorem] counter, followed by the number of the equation.

