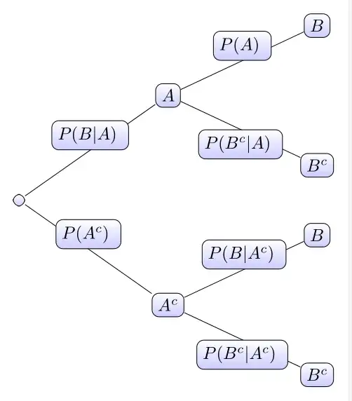
I am trying to draw a probability tree, but I am overlapping two nodes, on the right, I should end up with 4 nodes, all at the same distance from the empty node, one above the other. But as I mentioned before, I am overlapping 2 of these, leaving only 3 visible. If anyone knows how I can solve it, I appreciate the help, thank you very much in advance!
\begin{tikzpicture}[grow=right,sibling distance=8em, level distance=3cm,
every node/.style = {shape=rectangle, rounded corners,
draw, align=center,
top color=white, bottom color=blue!20}]]
\node {}
child { node {$A^c$}
child { node {$B^c$}
edge from parent node[below] { $P(B^c|A^c)$ } }
child { node {$B$}
edge from parent node[above] { $P(B|A^c)$ } }
edge from parent node[above] { $P(A^c)$ } }
child { node {$A$}
child { node {$B^c$}
edge from parent node[below] { $P(B^c|A)$ } }
child { node {$B$}
edge from parent node[above] { $P(A)$ } }
edge from parent node[above] { $P(B|A)$ } };
\end{tikzpicture}



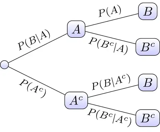
forest. There are lots of examples on the site of these kinds of trees: https://tex.stackexchange.com/q/257800, https://tex.stackexchange.com/q/308575, https://tex.stackexchange.com/q/364996, https://tex.stackexchange.com/q/193848, https://tex.stackexchange.com/q/314282 etc. – Alan Munn May 11 '23 at 18:59