I am using the unicode-math package with XeLaTeX. It works well, but it is making some of my characters look weird. Specifically, the code
f \colon x \mapsto x^2
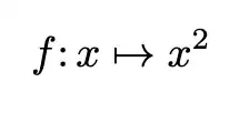
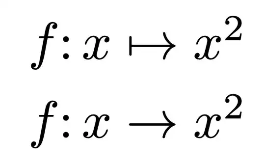
looks different from normal. Normally, it looks like this:
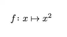
However, when I use unicode-math, it looks like this:
In the second image, the space between the dots in the \colon is too small. Also, the vertical bar on the \mapsto is too large and the horizontal bar is too short. How can I fix this?
I also had a similar issue with \mathbb{R} looking different, but when I googled a solution to that I found this similar question with this working solution. Is there anyway to do something similar for my problem with \colon and \mapsto?
Example:
\documentclass{article}
\usepackage{unicode-math}
\begin{document}
[f\colon x\mapsto x^2]
\end{document}




unicode-math, there is no information about fonts etc. – daleif May 16 '23 at 14:45