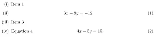
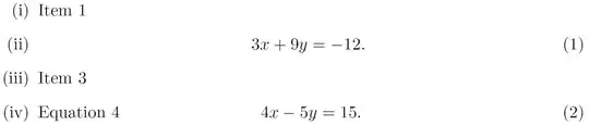
In the following example, I have some equations within a list. I was wondering how to place each of the equations in items (ii) and (iv) on the same line with their corresponding item number, while centered, and the text beforehand, if any, aligned to the left.
Thanks.
\documentclass{article}
\usepackage{amsmath}
\usepackage{enumerate}
\begin{document}
\begin{enumerate}[(i)]
\item Item 1
\item
\begin{equation}
3x + 9y = -12.
\end{equation}
\item Item 3
\end{enumerate}
\end{document}



enumeratealigned on item's number – barbara beeton May 24 '23 at 01:55