By default, the decimal separator of the tasks package is the period. In French, it is the comma. How to make the following code display a comma while keeping the period in the source code?
In other words, the following code
\documentclass{article}
\usepackage{tasks}
\usepackage[french]{babel}
\usepackage[utf8]{inputenc}
\usepackage[T1]{fontenc}
\begin{document}
\begin{tasks}[item-format=\ensuremath](1)
\task 0.6\times0.7=0.42
\task 0.05\times0.1=0.005
\task 0.07\times0.08=0.0056
\end{tasks}
\end{document}
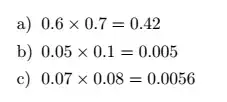
looks like this:
and not as this:



\usepackage[spanish]{babel}(and T1 fonts, ça va sans dire), it works. But with[french], it doesn't, maybe there some option... – Rmano May 26 '23 at 16:52\usepackage[french]{babel} \usepackage[utf8]{inputenc} \usepackage[T1]{fontenc}I updated the question code. – AndréC May 26 '23 at 16:58spanishyou'll have your comma, so there should be some trick done there (I'm looking for it). Hardly compatible withfrench, I fear... – Rmano May 26 '23 at 17:04item-format) – Rmano May 26 '23 at 17:12