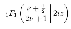
This is a perfect place to use amsmath's \genfrac command.

\documentclass{article}
\usepackage{amsmath}
\newcommand\hypergeom[3]{{}_1F_1\left(\genfrac{}{}{0pt}{}{#1}{#2}\,\middle\vert\,#3\right)}
\begin{document}
[ \hypergeom{\nu+\frac12}{2\nu+1}{2iz} ]
\end{document}
Explanation
In the definition above, we first have \left( ... \,\middle\vert\, ... \right); this generates automatically resized ( | ) that shows up. The \, is used to add some spacing, the \middle applied to \vert makes the vertical line grow in the same way as the parentheses to accommodate the arguments.
The heavy lifting is done by the \genfrac command, which amsmath uses to create things like \tfrac and \binom. Here we just want to stack two terms one over another, and so we basically ignore the first four arguments. For more bout the \genfrac command, see the amsmath documentation.
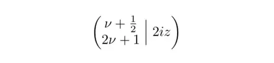
An advantage of using \genfrac is that it follows automatically scaling when you use the command in in-line math versus in display math. See the image below:

The top line uses the \hypergeom macro defined above; the bottom line uses a matrix based incantation.
For things like the hypergeometric function, the down-sized expression (similar to how in-line fractions are smaller compared to display ones) is, in my opinion, more pleasing.