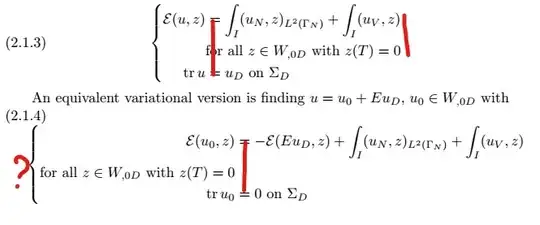
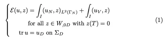
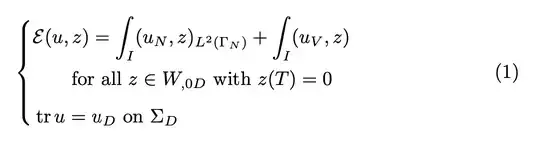
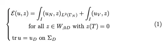
\begin{equation}\label{eq:f_formulation}
\left\{
\begin{alignedat}{3}
\E(u,z) &= \int_I(u_N,z)_{L^2(\Gamma_N)}+ \int_I(u_V,z)&\\
&\text{for all } z \in W_{,0D} \text{ with } z(T)=0\\
\tr u &= u_D \text{ on } \Sigma_D &
\end{alignedat}
\right.
\end{equation}
An equivalent variational version is finding $u=u_0 + E u_D$, $u_0 \in W_{,0D}$ with
\begin{equation}
\left \{
\begin{alignedat}{3}\label{eq:f_formulation_variational}
\E(u_0,z) &= -\E(E u_D,z) + \int_I(u_N,z)_{L^2(\Gamma_N)}+ \int_I(u_V,z)&\\
\text{for all } z \in W_{,0D} \text{ with } z(T)=0\\
\tr u_0 &= 0 \text{ on } \Sigma_D &
\end{alignedat}
\right.
\end{equation}
Results:
I want the second equation to look as the first one, in terms of alignement: the second line's end should match up with the first line's end. With the two equals signs still being aligned. Any hint on how to achieve this?
Thanks!



