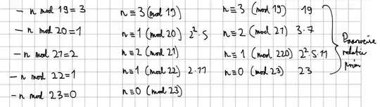
This is what I've ended up with so far. It would also be really nice if someone could help me inserting the 2^2x5 and the 2x11 in-between the existing columns please.
\setlength{\tabcolsep}{12pt}
\paragraph{}
\begin{tabular}{c c c c}
$n\mod19=3$ & $n\equiv3\pmod{19}$ & $n\equiv3\pmod{19}$ & $19$\\[0.25cm]
$n\mod20=1$ & $n\equiv1\pmod{20}$ & $n\equiv2\pmod{21}$ & $3\cdot7$\\[0.25cm]
$n\mod21=2$ & $n\equiv2\pmod{21}$ & $n\equiv1\pmod{220}$ & $2^2\cdot5\cdot11$ \\[0.25cm]
$n\mod22=1$ & $n\equiv1\pmod{22}$ & $n\equiv0\pmod{23}$ & $23$\\[0.25cm]
$n\mod23=0$ & $n\equiv0\pmod{23}$ &
\end{tabular}
\paragraph{}




nicematrixpackage which allows you to nicely add braces to a tabular. – Jasper Habicht Jun 21 '23 at 17:35