0

How to write alphabet "a" in latex?

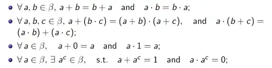
I am writing equations enter image description here

but I want "a" to look like this?

enter image description here

1 Answers1

1

By default, beamer uses a sans serif font for math. If you prefer serif font, you can use \usefonttheme[onlymath]{serif}:

\documentclass{beamer}

\usefonttheme[onlymath]{serif}

\begin{document}

\begin{frame}

[ a^n ]

\end{frame}

\end{document}

enter image description here