You'd have to measure the width of the larger expression, which would allow you to place thinner objects within a larger box and adjust the alignment, if needed. This can be automated using eqparbox:

\documentclass{extbook}
\usepackage{amsmath,eqparbox}
% https://tex.stackexchange.com/a/34412/5764
\makeatletter
\NewDocumentCommand{\eqmathbox}{o O{c} m}{%
\IfValueTF{#1}
{\def\eqmathbox@##1##2{\eqmakebox[#1][#2]{$##1##2$}}}
{\def\eqmathbox@##1##2{\eqmakebox{$##1##2$}}}
\mathpalette\eqmathbox@{#3}
}
\makeatother
\begin{document}
\begin{alignat}{2}
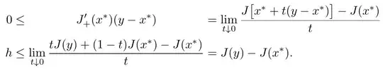
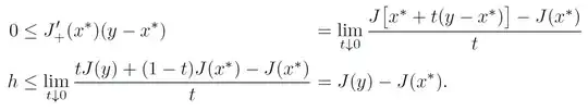
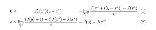
0 & \leq \eqmathbox[JJ]{ J'_{+} (x^) (y - x^) } && = \lim_{t \downarrow 0} \frac{J \big[ x^ + t (y - x^) \big] - J(x^)}{t} \
h & \leq \eqmathbox[JJ]{\lim_{t \downarrow 0} \frac{t J(y) + (1 - t) J(x^) - J(x^)}{t}} && = J(y) - J(x^).
\end{alignat}
\end{document}
\eqmathbox[<tag>][<align>]{<stuff>} figures out the maximum width needed for <stuff> across the same <tag>. Individual <align>ment can be changed for <stuff> that isn't the widest across the same <tag> (default is centred).
If you don't enjoy this automation, then use this:
\newsavebox{\bigmath}
\savebox{\bigmath}{$\displaystyle \lim_{t \downarrow 0} \frac{t J(y) + (1 - t) J(x^*) - J(x^*)}{t}$}% Capture large math object
\begin{alignat}{2}
0 & \leq \makebox[\wd\bigmath]{$J'_{+} (x^) (y - x^)$} && = \lim_{t \downarrow 0} \frac{J \big[ x^ + t (y - x^) \big] - J(x^)}{t} \
h & \leq \lim_{t \downarrow 0} \frac{t J(y) + (1 - t) J(x^) - J(x^)}{t} && = J(y) - J(x^*).