I would like to have a line with both equations and text, but the math environment takes over. What can I do so that I can include text in the equation display ?
Asked
Active
Viewed 31 times
0
-
Welcome. // Just tried my telepathic skill to read your code, but failed unfortunately ... – MS-SPO Aug 11 '23 at 07:51
-
Welcome! I'm afraid your question is a bit too vague to get an answer. Can you please add an example of what you mean? – egreg Aug 11 '23 at 07:51
-
Please clarify your specific problem or provide additional details to highlight exactly what you need. As it's currently written, it's hard to tell exactly what you're asking. – Community Aug 11 '23 at 07:59
1 Answers
2
Like this:
Code:
\documentclass[italian,10pt,a4paper]{article}
\usepackage{amsmath}
\begin{document}
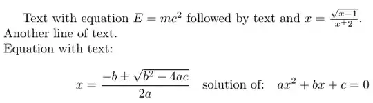
Text with equation $E=mc^2$ followed by text and $x=\frac{\sqrt{x-1}}{x^+2}$.\
Another line of text.
\end{document}
or like this:
Code:
\documentclass[italian,10pt,a4paper]{article}
\usepackage{amsmath}
\begin{document}
Text with equation $E=mc^2$ followed by text and $x=\frac{\sqrt{x-1}}{x^+2}$.\
Another line of text.\
Equation with text:
\[ x=\frac{-b\pm\sqrt{b^2-4ac}}{2a} \quad\text{solution of:}\quad ax^2+bx+c=0\]
\end{document}
Raffaele Santoro
- 9,702
-
I would have gone with
flalignfor more controll over the location and spacing. – John Kormylo Aug 11 '23 at 14:27

