In fine math typesetting, it's very common to use an upright font shape for operators such as "log", "sin", "det", "abs", and so on. "erf" is no different in this regard. Since you already make use of the amsmath package, you can use its \DeclareMathOperator macro to declare a new operator called, say, \erf, as follows:
\DeclareMathOperator{\erf}{erf}
Then, perform a global, one-time-only search and replace from erf to \erf in the body of the TeX document.
The case for giving special typographic treatment to "CDF" is actually different to the one for "erf". Here, "CDF" is not an operator but an acronym. Since "CDF" definitely doesn't denote the product of variables named "C", "D", and "F", it's customary to use either \mathit or (I believe, more commonly) mathrm to affect the way the acronym is typeset. Better still, define a macro called, say, \vn (short for "variable name") as follows:
\newcommand\vn[1]{\mathrm{#1}}
and then write \vn{CDF} instead of just CDF. Using \vn is not only shorter than \mathrm, but also affords far greater typesetting flexibility. Suppose one journal requires math-roman notation for variable names, whereas an other journal requires math-italic notation. All you'll have to do in your paper is to change the argument of \vn.
Building on these thoughts, I'd rewrite your test document as follows:

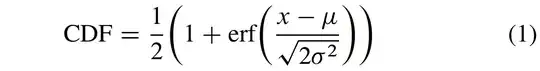
\documentclass[journal]{IEEEtran}
\usepackage{amsmath} % for '\DeclareMathOperator' macro
\DeclareMathOperator{\erf}{erf} % "error function" operator
\newcommand\vn[1]{\mathrm{#1}} % for typesetting variable names
% Optional -- load a Times Roman math font package
\usepackage[lite]{mtpro2} % cf. https://pctex.com/mtpro2.html
\begin{document}
\begin{equation} \label{cdf}
\vn{CDF} = \frac{1}{2}\biggl(
1+\erf\biggl( \frac{x-\mu}{\sqrt{2\sigma^2}} \biggr)
\biggr)
\end{equation}
\end{document}
alignenvironment for single-line equations. I suggest you useequationenvironments for numbered single-line equations. – Mico Aug 19 '23 at 07:46\mathitin one paper". One of the many deep beauties of TeX is that it's a macro programming language. Thus, rather than write\mathit{erf}hundreds of times, you could (a) replace all instances oferfwith\erfand (b) define once -- presumably in the preamble -- what\erfis supposed to do. You could set\newcommand\erf{\mathit{erf}}, or you could pursue the approach I suggest in my answer, viz., run\DeclareMathOperator{\erf}{erf}, giving\erfthe same status as\det,\sin,\log, etc. – Mico Aug 19 '23 at 15:09