I am using the IEEEtran class (two columns) for a paper, and have several long expressions that I cannot figure out the best way to format them. I am currently using \split and aligning everything manually as I see best for clarity, but this takes up a lot of space. Perhaps with the use of \multlined and \shoveright I can get better results.
Below is the MWE:
\usepackage{mathtools,amssymb}
\begin{document}
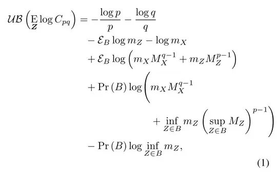
\begin{align}
\begin{split}
\mathcal{UB}\left(\underset{\boldsymbol{Z}}{\mathrm{E}}\log C_{pq}\right)
&=-\frac{\log p}{p}-\frac{\log q}{q}\
&\phantom{=}-\mathcal{E}B\log m{Z}-\log m_{X}\
&\phantom{=}+ \mathcal{E}B\log\left(m{X}M_{X}^{q-1}+m_{Z}M_{Z}^{p-1}\right)\
&\phantom{=}+\Pr{(B)}\log\Biggl( m_{X}M_{X}^{q-1}\
&\phantom{=+\Pr{(B)}\log\Biggl(}
+\inf_{Z\in B}m_{Z}\left(\sup_{Z\in B}M_Z\right)^{p-1}\Biggr)\
&\phantom{=}-\Pr{(B)}\log\inf_{Z\in B}m_{Z},
\end{split}
\end{align}
\end{document}

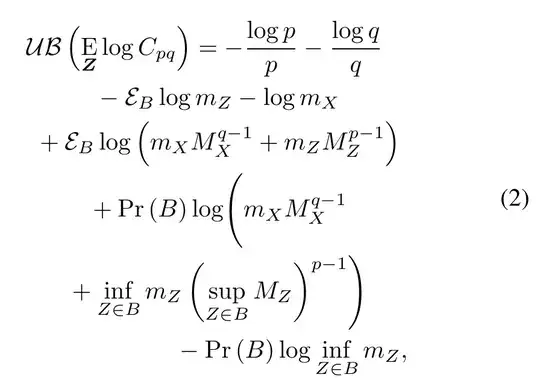
If using \multlined then the MWE would be:
\begin{align}
\begin{multlined}
\mathcal{UB}\left(\underset{\boldsymbol{Z}}{\mathrm{E}}\log C_{pq}\right)
=-\frac{\log p}{p}-\frac{\log q}{q}\\
-\mathcal{E}_B\log m_{Z}-\log m_{X}\\
+ \mathcal{E}_B\log\left(m_{X}M_{X}^{q-1}+m_{Z}M_{Z}^{p-1}\right)\\
+\Pr{(B)}\log\Biggl( m_{X}M_{X}^{q-1}\\
+\inf_{Z\in B}m_{Z}\left(\sup_{Z\in B}M_Z\right)^{p-1}\Biggr)\\
-\Pr{(B)}\log\inf_{Z\in B}m_{Z},
\end{multlined}
\end{align}

In my full document, as the IEEEtran is two column, the equations often overflow a bit into the other column. What would be the best way to handle these scenarios?

