2

I have been trying to replicate the font and formatting from my old maths books from the eastern bloc, and I cannot seem to replicate it. Either the font is correctly slanted, but the shape is wrong, or the shape is right, but the formatting is off. See below the samples from my books, and some replications in Tex.

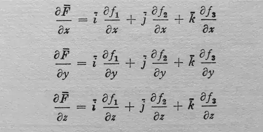
original \partial

tex \partial

original \varphi

original integral

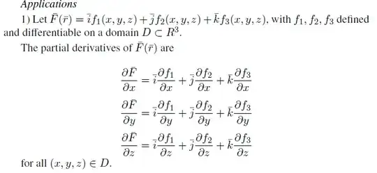
sample page

I have managed to trace down the text font to Times New Roman, but it is not perfect, something feels off.

My main requirements are a left-leaning integral sign, the Greek alphabet as seen in my pictures (upright or italic with ink traps) and a slanted \partial symbol with no ink traps. When searching for the Greek font, I have found something called Monotype Greek 90, but I was unable to find a place where to get it from.

I have tried different packages on pdflatex and Texworks, but they either do not work, or are not right.

Other minute details include the overbar for vector notation, variable font (as in x, y, z, …), limit notation, combinatorial functions, and other aspects from the provided pictures.

I realise that the font might be printing press specific, but too many books from the region have this type of font, and I cannot find any information about it.

texarch
  • 21
  • 1
    Welcome to tex.sx. – barbara beeton Sep 15 '23 at 17:27
  • See e.g. https://tex.stackexchange.com/q/9894/82917 – campa Sep 15 '23 at 19:24
  • I don't think that this is Times New Roman. It might be a variant of Times, but it has very peculiar glyphs, such as the italic small letter k in the last image (which is different from the font shown in your first picture and in the last image, there are even two different variants of this glyphs). The second to last image you show is probably some kind of Didot. Anyways, the images you show seem to exhibit different fonts. Are they really from the same book? – Jasper Habicht Sep 16 '23 at 10:59
  • @JasperHabicht Thank you for your reply. Pictures 1,4,5 are from the same book, its just that we sometimes use a "cursive" varients for certain cases (not too sure myself). Picture 3 is from a different book, but I posted it as a more up close picture of the \varphi.

    I have tried different types of Didot, and the greek alphabet seems a bit better as it has ink traps, but their shapes are still off and I cant seem to form functions using this font (too much space between the glyph and the parentheses)

    – texarch Sep 16 '23 at 22:20
  • @campa Thank you. My text looks better now. Old Standard has the right feel for the greek letters, but \varphi, \phi, \theta and others are either wrong or not quite right.

    I seems that I have to go through with my old plan. Writing my own font and packages.

    – texarch Sep 16 '23 at 22:27

0 Answers0