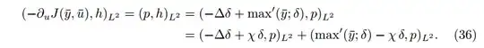
I try to write this equation on overleaf and numbering in second line (the same as in the picture) but I couldn't. Another problem is when I use align or equation, the prime in max' function goes to the center but not the right of max. Help me!!
Asked
Active
Viewed 45 times
1
1 Answers
1
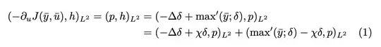
You want to use align.
See the code below on how to get max'.
\documentclass{article}
\usepackage{amsmath}
\DeclareMathOperator{\pmax}{max^{\prime}}
\begin{document}
\begin{align}
(-\partial_uJ(\bar{y},\bar{u}),h){L^2} = (p,h){L^2}
&= (-\Delta\delta+\pmax(\bar{y};\delta),p){L^2} \notag \
&= (-\Delta\delta+\chi\delta,p){L^2}+(\pmax(\bar{y};\delta)-\chi\delta,p)_{L^2}
\end{align}
\end{document}
egreg
- 1,121,712


alignor thealignatenvironment with\nonumberon the first line. For the\maxproblem, use\nolimitsor a package option. – Qrrbrbirlbel Sep 26 '23 at 09:08