The default limit operator displays “lim” with a small l. I wish to redefine it to display “Lim” that is, with a capital L like shown below.
3 Answers
You can add \ShowCommand\lim to your preamble to see the definition of \lim. It'll show
> \lim=robust macro:
->\protect \lim .
> \lim =\long macro:
->\mathop {\operator@font lim}.
<argument> \lim
l.3 \ShowCommand\lim
You can then define something similar for \Lim or redefine \lim accordingly:
\makeatletter
\NewDocumentCommand{\Lim}{}{\mathop{\operator@font Lim}}% Similar to \lim
\RenewDocumentCommand{\lim}{}{\mathop{\operator@font Lim}}% Replace \lim (lim -> Lim)
\makeatother
Note that this default definition differs from how its defined by other packages. For example, with amsmath, the definition is
> \lim=\protected macro:
->\qopname \relax m{lim}.
<argument> \lim
l.4 \ShowCommand\lim
where \qopname takes 3 arguments, the first of which is the operator text. You could
\NewDocumentCommand{\Lim}{}{\qopname{\relax}{m}{Lim}}
\RenewDocumentCommand{\lim}{}{\qopname{\relax}{m}{Lim}}
Best would be to use other tools (like mathtools), which help you define operators in a natural way:
\usepackage{mathtools}
\let\lim\relax% Remove existing \lim definition
\DeclareMathOperator{\lim}{Lim}% (Re)define \lim
\DeclareMathOperator{\Lim}{Lim}% Define \Lim
Here's a complete minimal example:
\documentclass{article}
%\ShowCommand\lim
%\makeatletter
%\NewDocumentCommand{\Lim}{}{\mathop{\operator@font Lim}}
%\RenewDocumentCommand{\lim}{}{\mathop{\operator@font Lim}}
%\makeatother
\usepackage{mathtools}
\let\lim\relax
\DeclareMathOperator{\lim}{Lim}
\DeclareMathOperator{\Lim}{Lim}
\begin{document}
[
\lim_{n \rightarrow \infty} S_n
\qquad
\Lim_{n \rightarrow \infty} S_n
]
\end{document}
- 603,163
You can either define a new \Lim or redefine the existing \lim. Both are shown in this MWE.
\documentclass{article}
\usepackage{mathtools}
\DeclareMathOperator*{\Lim}{Lim}
\let\lim\relax
\DeclareMathOperator*{\lim}{Lim}
\begin{document}
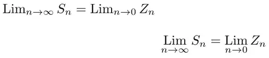
$ \lim_{n\rightarrow\infty} S_n = \Lim_{n\rightarrow 0} Z_n$
[ \lim_{n\rightarrow\infty} S_n = \Lim_{n\rightarrow 0} Z_n]
\end{document}
- 237,551
The simplest way is to use amsmath (of course you already have it in a math document) and do
\renewcommand{\lim}{\operatorname*{Lim}}
This is (slightly) less efficient than doing
\let\lim\relax %%% undefine \lim
\DeclareMathOperator*{\lim}{Lim}
See also How to redefine a command using \DeclareMathOperator
Another strategy is, of course, to do
\DeclareMathOperator*{\Lim}{Lim}
and to use \Lim.
- 1,121,712



\usepackage{mathtools} \DeclareMathOperator*{\Lim}{Lim}. If you prefer to redefine the original,\let\lim\relax \DeclareMathOperator*{\lim}{Lim}– Steven B. Segletes Sep 26 '23 at 20:14