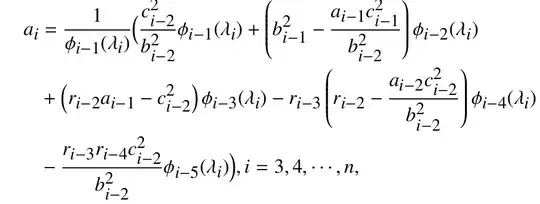
This is the formula
\begin{align}
a_i &= \dfrac{1}{\phi_{i-1}(\lambda_i)}\bigg(\dfrac{c_{i-2}^2}{b_{i-2}^2}\phi_{i-1}(\lambda_i) + \left(b_{i-1}^2 - \dfrac{a_{i-1}c_{i-1}^2}{b_{i-2}^2}\right)\phi_{i-2}(\lambda_i)\nonumber\\&+\left(r_{i-2}a_{i-1}- c_{i-2}^2\right)\phi_{i-3}(\lambda_i) - r_{i-3}\left(r_{i-2} - \dfrac{a_{i-2}c_{i-2}^2}{b_{i-2}^2}\right)\phi_{i-4}(\lambda_i)\nonumber\\& - \dfrac{r_{i-3}r_{i-4}c_{i-2}^2}{b_{i-2}^2}\phi_{i-5}(\lambda_i)\bigg), i=3 ,4 ,\cdots, n,\label{ai-formula}
\end{align}
with the output
But if I replace \bigg( and \bigg) with \left( and \right) I get the error
Extra }, or forgotten \right. }$}\ifmeasuring@ \savefieldlength@ \fi \set@field \hfil \endtempl... ^^I\end{align}
