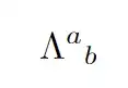
${\Lambda^a}_b$ compiles to the desired result:
However, if I want to add both superscript and subscript on $\Bar{\Lambda}$, the superscript and subscript always align:
I tried to add braces on different locations, but these attempts do not work, and they all compiles to the result above. \Bar is in amsmath, using \bar in native LaTeX does not work either.
{\Bar{\Lambda}^a}_b
{{\Bar\Lambda}^a}_b
{{\Bar{\Lambda}}^a}_b
How can I force the superscript and subscript misalign in this situation?
A compilable minimal example:
\documentclass[utf8]{article}
\usepackage{amsmath,amssymb}
\usepackage{graphicx}
\usepackage{fullpage}
\usepackage{setspace}
\usepackage{verbatim}
\onehalfspacing
\begin{document}
Aligned superscript and subscript:
$$
\Lambda_a^b, \bar{\Lambda}_a^b
$$
Misaligned superscript and subscript:
$$
{\Lambda_a}^b, \text{This does not work: } {\bar{\Lambda}_a}^b
$$
\end{document}



\Bardefined? Also, it is in general better if you provide a complete minimal example (one that compiles). – mickep Oct 08 '23 at 13:59\Barcomes fromamsmath. The example has been added. – l fx Oct 08 '23 at 14:09$$. See the addendum to my answer. – egreg Oct 08 '23 at 14:12