I'd like to input a long equation, so I had to cut it into two lines. But, there's a couple of {} at the start of the first line of the equation and the end of the second line of the equation, and the 'equal height brackets' doesn't support \\ in it. I've used the \qty{} command of the package physics, or the \ab\{\} command of the package physics2, just like the code below:
\documentclass[9pt,a4paper]{article}
\usepackage{geometry}
\usepackage{amsmath}
\usepackage{extarrows}
\usepackage{fixdif,physics2}
\def\e{\mathrm{e}}
\usephysicsmodule{ab,ab.legacy,braket,nabla.legacy}
\def\Re{\mathrm{Re}}
\begin{document}
\begin{equation}
\begin{aligned}
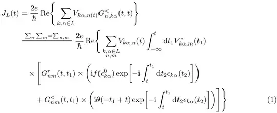
J_L(t)&=\frac{2e}{\hbar}\Re\ab\{\sum_{k,\alpha\in L}{V_{k\alpha,n(t)}G_{n,k\alpha}^<(t,t)}\}\\
&\xlongequal{\sum_{n}\sum_m=\sum_{n,m}}\frac{2e}{\hbar}\Re\ab\{\sum_{\substack{k,\alpha\in L\\n,m}}V_{k\alpha,n}(t)\int_{-\infty}^t\d t_1V_{k\alpha,m}^*\ab(t_1)\times\ab[G_{nm}^r\ab(t,t_1)\times\ab(\i f\ab(\epsilon_{k\alpha}^0)\exp\ab[-\i\int_{t}^{t_1}{\d t_2\epsilon_{k\alpha}(t_2)}])\\
&\ \ +G_{nm}^<\ab(t,t_1)\times\ab(\i\theta\ab(-t_1+t)\exp\ab[-\i\int_{t}^{t_1}{\d t_2\epsilon_{k\alpha}(t_2)}])\vphantom{\int_t^{t_1}}]\}\\
\end{aligned}
\end{equation}
\end{document}
they all returned me errors:
Extra }, or forgotten \right.
<template> }
Missing } inserted.
<inserted text>
Then, I used the command \left\{ at the at the start of the first line of the equation and \right\} at the end of the second line of the equation, however it also returned me the errors above.
Then, I used the command \left\{ at the start of the first line and \right. at the end of the first line, used the command \left. at the start of the second line and \right\} at the end of the second line, the errors disappeared, however, the height of the right bracket } doesn't equal to the height of the left bracket {.

The code is just like below:
\documentclass[9pt,a4paper]{article}
\usepackage{geometry}
\usepackage{amsmath}
\usepackage{extarrows}
\usepackage{fixdif,physics2}
\def\e{\mathrm{e}}
\usephysicsmodule{ab,ab.legacy,braket,nabla.legacy}
\def\Re{\mathrm{Re}}
\begin{document}
\begin{equation}
\begin{aligned}
J_L(t)&=\frac{2e}{\hbar}\Re\ab\{\sum_{k,\alpha\in L}{V_{k\alpha,n(t)}G_{n,k\alpha}^<(t,t)}\}\\
&\xlongequal{\sum_{n}\sum_m=\sum_{n,m}}\frac{2e}{\hbar}\Re\left\{\sum_{\substack{k,\alpha\in L\\n,m}}V_{k\alpha,n}(t)\int_{-\infty}^t\d t_1V_{k\alpha,m}^*\ab(t_1)\times\left[G_{nm}^r\ab(t,t_1)\times\ab(\i f\ab(\epsilon_{k\alpha}^0)\exp\ab[-\i\int_{t}^{t_1}{\d t_2\epsilon_{k\alpha}(t_2)}])\right.\right.\\
&\ \ \left.\left.+G_{nm}^<\ab(t,t_1)\times\ab(\i\theta\ab(-t_1+t)\exp\ab[-\i\int_{t}^{t_1}{\d t_2\epsilon_{k\alpha}(t_2)}])\vphantom{\int_t^{t_1}}\right]\right\}\\
\end{aligned}
\end{equation}
\end{document}
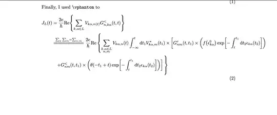
Finally, I found that I can add a 'virtual' height of the first line, is just add the command \vphantom{\sum_{\substack{k,\alpha\in L\\n,m}}} before the \right\} at the end of the second line, just like the code below:
\documentclass[9pt,a4paper]{article}
\usepackage{geometry}
\usepackage{amsmath}
\usepackage{extarrows}
\usepackage{fixdif,physics2}
\def\e{\mathrm{e}}
\usephysicsmodule{ab,ab.legacy,braket,nabla.legacy}
\def\Re{\mathrm{Re}}
\begin{document}
\begin{equation}
\begin{aligned}
J_L(t)&=\frac{2e}{\hbar}\Re\ab\{\sum_{k,\alpha\in L}{V_{k\alpha,n(t)}G_{n,k\alpha}^<(t,t)}\}\\
&\xlongequal{\sum_{n}\sum_m=\sum_{n,m}}\frac{2e}{\hbar}\Re\left\{\sum_{\substack{k,\alpha\in L\\n,m}}V_{k\alpha,n}(t)\int_{-\infty}^t\d t_1V_{k\alpha,m}^*\ab(t_1)\times\left[G_{nm}^r\ab(t,t_1)\times\ab(\i f\ab(\epsilon_{k\alpha}^0)\exp\ab[-\i\int_{t}^{t_1}{\d t_2\epsilon_{k\alpha}(t_2)}])\right.\right.\\
&\ \ \left.\left.+G_{nm}^<\ab(t,t_1)\times\ab(\i\theta\ab(-t_1+t)\exp\ab[-\i\int_{t}^{t_1}{\d t_2\epsilon_{k\alpha}(t_2)}])\vphantom{\int_t^{t_1}}\right]\vphantom{\sum_{\substack{k,\alpha\in L\\n,m}}}\right\}\\
\end{aligned}
\end{equation}
\end{document}
The question is 'solved', this is the effect that I want:

However, this is too much trouble... I'd like to know if there's a simple command just like the command \qty of package physics or \ab of package physics2 can achieve the effect I want?

\Bigland\Bigror maybe\biggland\biggror whatever size fits you here. – mickep Nov 07 '23 at 08:559pt. – Mico Nov 07 '23 at 09:08