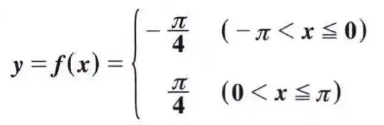
I am currently working on including the following equation in my writing:
I attempted to express it as follows, but my attempt produced a very different result
$y = f(x) = \{\dfrac{-\dfrac{\pi}{4} (-\pi \le x \leq 0)}
{ \dfrac{\pi}{4} ( 0 \le x \leq \pi)}$
Could someone kindly help me accurately represent the intended equation in LaTeX?
