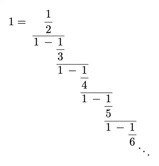
The current formula I have is:
\begin{displaymath}
1 = \frac{1}{\cfrac{2}{1-\cfrac{1}{3}}}
\end{displaymath}
How should I proceed further?
The current formula I have is:
\begin{displaymath}
1 = \frac{1}{\cfrac{2}{1-\cfrac{1}{3}}}
\end{displaymath}
How should I proceed further?
Se if the following is what you after:
\documentclass{article}
\usepackage{amsmath}
\begin{document}
[
1 = \frac{\tfrac{1}{2}}{1-\cfrac{\tfrac{1}{3}}{1-\cfrac{\tfrac{1}{4}}{1-\cfrac{\tfrac{1}{5}}{1-\cfrac{\tfrac{1}{6}}{1-\tfrac{1}{7}}}}}}
]
\end{document}
This seems quite similar to the picture.
\documentclass{article}
\usepackage{amsmath,array}
\begin{document}
[
\setlength{\arraycolsep}{1pt}
\renewcommand{-}{{}-{}}% local redefinition, harmless
1=;
\begin{array}[t]{*{10}{c}}
\multicolumn{3}{c}{\dfrac{\kern1pt 1 \kern1pt}{2\mathstrut}} \
\cline{1-3}
1 & - & 1 \
\cline{3-3}\noalign{\kern1pt}
&& 3 \
\cline{3-5}
&& 1 & - & 1 \
\cline{5-5}\noalign{\kern1pt}
&&&& 4 \
\cline{5-7}
&&&& 1 & - & 1 \
\cline{7-7}\noalign{\kern1pt}
&&&&&& 5 \
\cline{7-9}
&&&&&& 1 & - & 1 \
\cline{9-9}\noalign{\kern1pt}
&&&&&&&& 6 \[-2ex]
&&&&&&&&& \ddots
\end{array}
]
\end{document}
https://tex.stackexchange.com/questions/346398/continued-fractions. – Charles B. Cameron Dec 27 '23 at 17:42